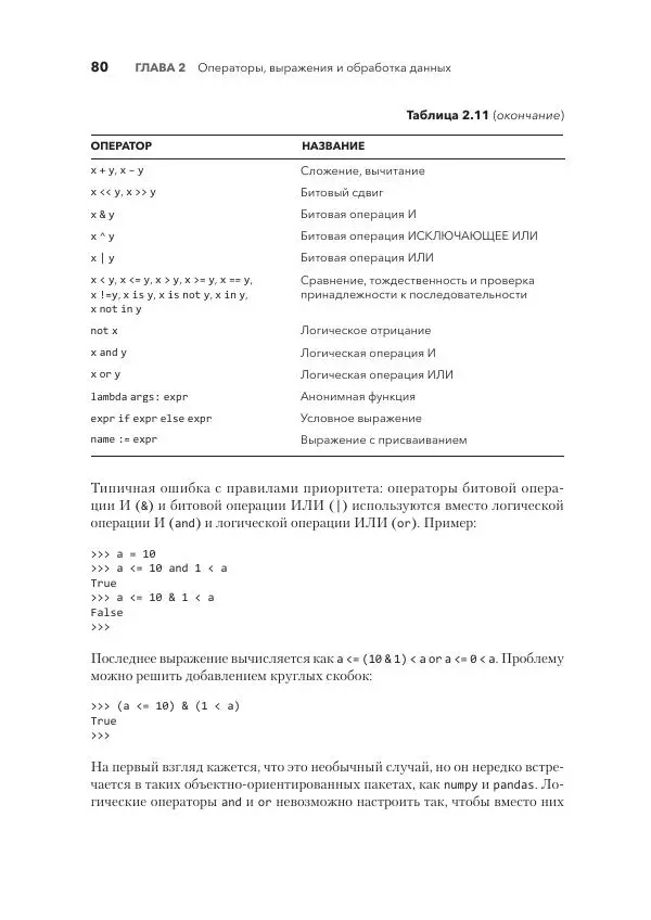
Тупое начало. ГГ = бывший вор - неудачник, много воображающий о себе и считающий себя наёмником, но поступающий точно так же как прежний хозяин тела в которое он попал. Старого хозяина тела ГГ считает трусом и пьяницей, никчемным человеком,себя же бывалым человеком, способным выжить в любой ситуации. Первая и последняя мысля ГГ = нужно затаится и собрать данные для дальнейших планов. Умней не нашёл, как бежать из дома для этого. Будет под
подробнее ...
забором собирать сведения, кто он теперь и как дальше жить. Прямо умный и не трусливый поступок? Смешно. Бежав из дома, где его никто не стерёг, решил подумать. Решил - надо напиться. Нашёл в кабак с кошельковом золота в кармане, где таким как он опасно находится. Дальше читать не стал. ГГ - дебил и вор по найму, без царя в голове, с соответствующей речью и дешевыми пантами по жизни. Не интересен и читать неприятно. В корзину.
Оценил серию на отлично. ГГ - школьник из выпускного класса, вместе с сотнями случайных людей во сне попадает в мир летающих островов. Остров позволяет летать в облаках, собирать ресурсы и развивать свою базу. Новый мир работает по своим правилам, у него есть свои секреты и за эти секреты приходится сражаться.
Плюсы
1. Интересный, динамический сюжет. Интересно описан сам мир и его правила, все довольно гармонично и естественно.
2. ГГ
подробнее ...
неплохо раскрыт как личность. У него своя история семьи - он живет с отцом отдельно, а его сестра - с матерью. Отношения сложные, скорее даже враждебрные. Сам ГГ действует довольно логично - иногда помогает людям, иногда действует в своих интересах(когда например награда одна и все хотят ее получить)
3. Это уся, но скорее уся на минималках. Тут нет километровых размышлений и философий на тему культиваций. Так по минимуму (терпимо)
4. Есть баланс силы между неспящими и соперничество.
Минсы
Можно придраться конечно к чему-нибудь, но бросающихся в глаза недостатков на удивление мало. Можно отметить рояли, но они есть у всех неспящих и потому не особо заметны. Ну еще отмечу странные отношения между отцом и сыном, матерью и сыном (оба игнорят сына).
В целом серия довольно удачна, впечатление положительное - можно почитать
Если судить по сей литературе, то фавелы Рио плачут от зависти к СССР вообще и Москве в частности. Если бы ГГ не был особо отмороженным десантником в прошлом, быть ему зарезану по три раза на дню...
Познания автора потрясают - "Зенит-Е" с выдержкой 1/25, низкочувствительная пленка Свема на 100 единиц...
Областная контрольная по физике, откуда отлично ее написавшие едут сразу на всесоюзную олимпиаду...
Вобщем, биографии автора нет, но
подробнее ...
непохоже, чтоб он СССР застал хотя бы в садиковском возрасте :) Ну, или уже все давно и прочно забыл.
Последние комментарии
2 часов 14 минут назад
2 часов 16 минут назад
3 часов 18 минут назад
8 часов 35 минут назад
8 часов 36 минут назад
8 часов 37 минут назад