[Настройки текста] [Cбросить фильтры]
[Оглавление]
Наука. Величайшие теории. Выпуск 5. На волне Вселенной. Шрёдингер. Квантовые парадоксы
Наука. Величайшие теории Выпуск № 5, 2015 Еженедельное издание ООО «Де Агостини», Россия © David Blanco Laserna, 2012 (текст) © RBA Collecionables S.A., 2012 © ООО “Де Агостини”, 2014-2015 ISSN 2409-0069 Наука. Величайшие теории: выпуск 5: На волне Вселенной. Шрёдингер. Квантовые парадоксы. / Пер. с франц. — М.: Де Агостини, 2015. — 168 с.Эрвин Шрёдингер сформулировал знаменитый мысленный эксперимент, чтобы продемонстрировать абсурдность физической интерпретации квантовой теории, за которую выступали такие его современники, как Нильс Бор и Вернер Гейзенберг. Кот Шрёдингера, находящийся между жизнью и смертью, ждет наблюдателя, который решит его судьбу. Этот яркий образ сразу стал символом квантовой механики, которая противоречит интуиции точно так же, как не поддается осмыслению и ситуация с котом, одновременно живым и мертвым. Шрёдингер проиграл эту битву, но его имя навсегда внесено золотыми буквами в историю науки благодаря волновому уравнению — главному инструменту для описания физического мира в атомном масштабе.
Иллюстрации предоставлены: Archives RBA: 116; Bibliotheque centrale de physique de Vienne: 47ag, 47ad, 47bg, 47bd, 55a, 55b, 75a, 75b, 107ag, 107ad; Getty Images: 107b; Universite de Monterrey: 25; Universite de Vienne: 21; akg/Science Photo Library.
Введение
Эрвин Шрёдингер — видный представитель исчезнувшего сегодня вида. Он носитель великой культуры Центральной Европы, которая долгое время развивалась на берегах Дуная и была рассеяна в результате мировых войн и деятельности политических экстремистов прошедшего века. Ученый жил и работал в те же годы, что и Фрейд, Климт, Шёнберг, Витгенштейн — в Вене, а Манн, Гросс и Брехт — в Берлине. Он словно впитывал в себя яркий свет современников, оставаясь в их тени. Шрёдингер участвовал в Первой мировой войне в звании лейтенанта артиллерии, знал нищету и невзгоды послевоенного времени, своими глазами видел, как изгоняли евреев, и дважды становился эмигрантом: сначала — когда Гитлер пришел к власти в Германии, а затем — после аннексии Австрии. Он наблюдал закат двух великих эпох, сформировавших его, — исторической и научной (эпохи классической физики). Единственный сын в богатой семье, он получил образование и с детства мог воспользоваться всеми преимуществами, которые дают человеку деньги и просвещенное окружение. Однако первоначальный комфорт сменили значительные трудности, в которых Шрёдингер проявил себя как страстная, увлеченная личность, не чуждая и противоречий. Мятежный характер ученого помог ему строить семейную жизнь, отойдя от лекал традиционного буржуазного брака, однако в области политики и особенно науки он проявил себя как убежденный консерватор. Увлечение Шрёдингера индуизмом и восточной философией носило скорее чисто эстетический интерес, поскольку аскеза ученого уж точно никак не привлекала. При этом философия веданты, открытая в трудах Шопенгауэра, хотя и не слишком повлияла на научную работу исследователя, но в значительной степени определила его мировоззрение. Если вспомнить о множестве увлечений и талантов, которые Шрёдингер развивал на протяжении всей своей жизни, ученый предстает перед потомками в образе четырехрукого Вишну. Круг его интересов был ошеломляюще широким, и любопытство, двигавшее им, выходило далеко за пределы одной только науки. В своей статье о квантовой механике Шрёдингер легко переходит от «Математических начал натуральной философии» Ньютона к путешествию Дарвина на борту «Бигля», а по пути с легкостью анализирует поэзию Луиса де Гонгора-и-Арготе. Он полюбил театр еще в раннем детстве, был увлеченным читателем, в свободное время рисовал, увлекался лепкой и ткал гобелены. Шрёдингер готов был оставить науку, чтобы посвятить себя философии, а однажды признался, что первым его увлечением была поэзия. Впрочем, писатель Стефан Цвейг полагал, что литература в лице Шрёдингера потеряла немного и даже насмешливо замечал: «Надеюсь, его физика лучше, чем его поэзия». Единственным заметным пробелом среди интересов Шрёдингера была музыка, любовь к которой его, в отличие от большинства физиков-теоретиков того времени, не затронула. Образ ученого окружен романтическим ореолом, он, как герои картин Каспара Давида Фридриха, стоит на краю пропасти и смотрит вдаль. Его оригинальность проявлялась и в выборе одежды: на множестве фотографий Шрёдингера можно увидеть то в образе путешественника в светлой куртке и мешковатых штанах, то представителем богемы в элегантной бабочке, то грозным ритором в костюме и темном галстуке. В отношениях с окружающими ученый проявлял себя как опытный обольститель; это в равной степени справедливо и для женщин, и для студенческой аудитории, и для слушателей его докладов на конференциях. Однако обаяние ученого порой приносило ему одни только неприятности, и его бурная личная жизнь иногда становилась уж слишком наэлектризованной. Известно, что у Шрёдингера было три внебрачные дочери от трех разных женщин и при этом один брак на всю жизнь. Однажды он приехал в Оксфорд сразу с двумя партнершами, и это событие вызвало настоящий скандал. И все же, несмотря на весь свой авантюризм и настойчивые ухаживания за некоторыми женщинами, Шрёдингер вовсе не был Дон Жуаном. Он просто любил саму любовь, для него эта вспышка страсти была главной движущей силой, которая стимулировала его прогресс в исследованиях, — по крайней мере, так считал сам ученый. И действительно, его постоянство в непостоянстве наложило отпечаток и на научную карьеру: исследователь все время стремился к новым горизонтам. Широта интересов Шрёдингера действительно поражает. Он изучал диэлектрические материалы, магнетизм, элементарные частицы, термодинамику, спектроскопию, квантовую механику, общую теорию относительности, удельную теплоемкость, единые геометризованные теории поля, радиоактивность, космические лучи, поверхностное натяжение, акустику, сверхпроводимость и проблемы учения о цвете. Ученый реализовал множество экспериментов и, кажется, полжизни провел в лаборатории. Ранние работы Шрёдингера во многом были определены интересами его венских наставников. Пока ученый не предложил свой собственный взгляд, он занимался в основном исправлением ошибок старших коллег. Многие свои статьи исследователь начинал с обзора предшествующих подходов, подробно подчеркивая каждую неточность, а затем предлагал свое объяснение. Шрёдингер напоминал талантливого ученика, который, впрочем, еще не нашел своего места и не понял, в чем его собственная сила. Первое расхождение с традицией наметилось в его статьях об общей теории относительности, с которой ученый познакомился на военной службе в годы Первой мировой войны. На фронте он написал статью, касающуюся одного из самых сложных аспектов теории — неоднозначности в определении гравитационной энергии (восхищение Эйнштейном Шрёдингер сохранил на всю жизнь). В 39 лет, сам того не ожидая (да и никто этого не ожидал), он создал свое самое значительное творение — волновую механику. Произошло это после периода затишья, к тому же в возрасте, когда творческие способности многих ученых уже угасают. Уравнение Шрёдингера возникло в тот момент, когда физики-теоретики стояли перед целым клубком экспериментальных результатов, никак не могли его распутать и испытывали по этому поводу огромную растерянность. Австриец Вольфганг Паули в 1925 году сетовал: «Сейчас физика слишком непонятна. Во всяком случае, она слишком трудна для меня, и я предпочел больше никогда не слышать о ней». Однако Шрёдингер не пал жертвой этой растерянности, а поместил привычное уравнение классической физики в самый центр негостеприимной квантовой механики. Его волновая механика родилась как реакция на требование Вернера Карла Гейзенберга уничтожить любое интуитивное видение в области атомов. Шрёдингер стремился сохранить классический дух, создавая новую фантазию, основанную на волнах вместо частиц: «Целью исследований атомов является внедрение экспериментов, проистекающих из нашего повседневного образа мыслей». В своих поисках он потерпел поражение, и его реакция на то, что вся работа в области квантовых сущностей не дала никаких результатов, вошла в историю: «Я простить себе не могу, что вообще связался с квантовой теорией!» Однако Нильс Бор совсем не считал проделанную работу напрасной: «Мы все чрезвычайно благодарны вам, — говорил он коллеге. — Ваша волновая механика принесла с собой такую математическую ясность и простоту, что явилась гигантским шагом вперед». Шрёдингер не только посвятил огромное количество времени безнадежному, как он посчитал, делу — параллельно он сформулировал то, что станет ключом к современной физике, — волновое уравнение, маяк в сердце тьмы, каким ранее стало выражение F= m x а Ньютона. Рождение квантовой механики вызвало напряженность в научном мире, поскольку открытие противоречило привычным подходам. Однако благодаря коллективной работе ряда известных ученых, трудившихся в двух научно-исследовательских центрах — Копенгагене и Гёттингене,— квантовая механика получила признание. В число ее адептов вошли Нильс Бор, Вернер Карл Гейзенберг, Макс Борн, Вольфганг Паули и Паскуаль Йордан. К ним также можно добавить Поля Дирака из Кембриджа. В отличие от этой плеяды, Шрёдингер, как и Эйнштейн, работал в одиночестве:«В научной деятельности, как и вообще в жизни, я никогда не придерживался какой-либо генеральной линии, не следовал руководящей программе, рассчитанной на длительные сроки. Хотя я очень плохо умею работать в коллективе, в том числе, к сожалению, с учениками, мои труды никогда не были совершенно самостоятельными, поскольку мой интерес к какому-либо вопросу всегда зависит от интереса, проявляемого к этому же вопросу другими»[1 Перевод А. С. Доброславского.].
Хотя Шрёдингер не основал ни одной школы и не собрал вокруг себя последователей, он написал одно из самых вдохновляющих научных произведений XX века — сборник «Что такое жизнь?», куда вошел цикл его лекций, прочитанных в Тринити-колледже в Дублине в 1943 году. Эта книга убедила целое поколение ученых в том, что физика содержит уникальные возможности для изучения живых существ. Шрёдингер предвидел структурные особенности, выражающиеся в том, что наследственность связана с хромосомами, и вывел современную концепцию генетического кода. Одна из наиболее выдающихся частей наследия Шрёдингера имеет отношение к его языку, к его способности находить для описания экспериментальных ситуаций яркие образы, которые сразу же подхватывают даже его научные оппоненты. Например, все знают о коте, который носит имя ученого и стал символом загадок квантовой механики. Судьба животного, запертого в стальной камере, зависит от ядерного распада. Когда ядро расщепляется, высвобождается токсичный газ, убивающий кота. Зафиксировать этот момент, по законам физики, нельзя, возможно лишь дать вероятностное описание эксперимента. Пока камера не открыта, распад одновременно происходит и не происходит. Кот, подвешенный в этом невероятном состоянии между жизнью и смертью, является вызовом, испытанием, которое должна пройти каждая интерпретация теории. Шрёдингер также способствовал расширению научного лексикона, введя термин «запутанность» для обозначения, вероятно, наиболее загадочного явления квантовой механики. Он сам лучше, чем кто-либо, в нескольких словах изложил достоинства и недостатки своей работы: «Я пропустил красоту вперед науки». Эта эстетическая концепция — один из самых пленительных и ярких образов, связанных с областью атомов. Поль Дирак говорил, что испытывает ту же слабость: «Из всех физиков, которых я знаю, мне кажется, Шрёдингер больше всего похож на меня [...]. Думаю, это потому, что мы оба безнадежно увлечены математической красотой, которая и определяет нашу работу». Технически квантовая механика является одной из самых продуктивных научных теорий. В каждом устройстве с интегральной схемой, будь то компьютер, сотовый телефон или МРЗ-плеер, бьется квантовое сердце. Это же справедливо для магнитного резонанса, сверхпроводников, лазеров и электронных микроскопов. Гейзенберг, Борн, Йордан и Шрёдингер завершили математическую модель теории в 1920-е годы, однако ее влияние на наше понимание мира обсуждается до сих пор. Многие ученые, привыкшие к большей конкретности, считают, что философские вопросы как минимум второстепенны, но их оппоненты видят в таком подходе немалую привлекательность. Маловероятно, что разногласия в интерпретации теории можно преодолеть, но сами поиски красоты в построении научных теорий, свойственные Шрёдингеру, будут вдохновлять следующие поколения физиков. 1887 Родился Эрвин Шрёдингер, единственный сын Рудольфа Шрёдингера и Георгины Бауэр. Это произошло в Вене 12 августа. 1898 Поступил в академическую гимназию Вены, где получил хорошее гуманитарное образование. 1910 Получил степень доктора в Венском университете, защитив диссертацию на тему «Электрическая проводимость на поверхности изоляторов во влажном воздухе». Целью работы было улучшение изоляции научного оборудования, подвергающегося воздействию коррозии. 1914-1918 Участвовал в Первой мировой войне в звании лейтенанта артиллерии на итальянском фронте. 1920 Вступил в брак с Аннемари Бертель. Покинул Вену, чтобы занять пост ассистента в Йенском университете. 1921 Назначен штатным преподавателем теоретической физики в Цюрихском университете. 1926 Сформулировал знаменитое уравнение, носящее его имя, и обосновал свою волновую версию квантовой механики в шести статьях. В них ученый также продемонстрировал математическую эквивалентность своего подхода и матричной механики Гейзенберга. 1927 Стал преемником Планка на кафедре теоретической физики в Берлинском университете. 1933 Оставил Германию из-за усиления влияния нацистов и начал работу исследователем-стипендиатом в в колледже святой Магдалины в Оксфорде. В ноябре этого же года узнал о присуждении ему Нобелевской премии по физике совместно с Полем Дираком. 1935 Опубликовал статью «Современное состояние квантовой механики», в которой представил парадокс кота и ввел термин «запутанность». 1936 Вернулся в Австрию, чтобы занять пост профессора в университете Граца. 1938 После аннексии Австрии Германией эмигрировал в Оксфорд. 1939 Переехал в Дублин. В следующем году начал работу в недавно созданном Дублинском институте высших исследований. 1944 Опубликовал одну из наиболее важных работ XX века в области популяризации науки — «Что такое жизнь?». 1956 Вернулся в Вену после почти 17 лет пребывания в Дублине. 1961 Умер в Вене в возрасте 73 лет. Это произошло 4 января.
Глава 1 Свет и материя
В конце XIX века физика развивалась вокруг двух революционных теорий: механической и статической интерпретации термодинамики и электродинамики Максвелла. С помощью этих двух теорий ученые попытались решить новую задачу: объяснить связь между светом и материей. Эрвин Рудольф Йозеф Александр Шрёдингер родился 12 августа 1887 года в Вене. В эпоху Возрождения биографии обычно начинались с описания положения звезд в момент рождения, но в случае Шрёдингера нет нужды выискивать на небосклоне благоприятные знаки. Можно сказать, что сама наука склонилась над колыбелью мальчика. Дед Шрёдингера, Александр Бауэр, преподавал химию в университете, и только потеря глаза во время эксперимента положила конец его исследовательской деятельности. Однако наука стала причиной встречи будущих родителей ученого: его отец, Рудольф Шрёдингер, студент Александра в Высшей технической школе в Вене (ныне Технический университет), ухаживал за одной из его дочерей, Георгиной Бауэр. Пара поженится в 1886 году. Наверняка ни отец, ни дед Эрвина не могли и мечтать о том, что их отпрыск с помощью одного уравнения объяснит всю известную им химию. Рудольф унаследовал небольшое семейное предприятие — фабрику по производству клеенки, что обеспечивало семье безбедное существование вплоть до поражения Австро-Венгрии в Первой мировой войне и последовавшего банкротства. Впрочем, это наследство таило в себе толику яда, потому что ради того, чтобы возглавить предприятие, Рудольф отказался от своих настоящих интересов — итальянской живописи, воеточной керамики и изучения филогенеза. Шрёдингер утверждал, что его родители стояли у истоков двух величайших страстей в его жизни — тяги к знаниям и к красоте, которую воплощал мир женщин:«Для растущего сына [мой отец] был другом, учителем и неутомимым собеседником, третейским судьей по любому вопросу, достойному внимания [...]. Помимо этого, я думаю, что [своей матери] я обязан уважением к женщинам».
Его бабушка по материнской линии носила фамилию Рассел и имела англосаксонские корни. Минни, одна из теток Шрё- дингера, считала своим долгом сохранить британские гены даже на территории Австрии. Так, она учила племянника языку Шекспира, читая ему книги с библейскими историями, — и это еще до того, как он научился писать по-немецки. Не отставала от сестры и мать: Георгина установила особые дни, когда сын должен был разговаривать исключительно по-английски. Все эти знания очень пригодились Эрвину спустя несколько десятилетий, когда нацистская волна обрушилась на его родину.
Хотя я был вынужден покинуть родную землю, но никогда не чувствовал себя чужаком в чужой стране. Эрвин Шрёдингер
Благодаря академической карьере дед будущего ученого, Александр, входил в высшее венское общество и носил два важных титула: официально он был государственным советником (по-немецки этот титул звучит как «гофрат»), а неформально его считали настоящим светским львом; его благородные манеры вызывали восхищение. Александр приобрел пятиэтажное здание в одном из самых богатых районов города и жил там вплоть до своего отъезда из Вены в 1921 году, сдавая зятю в аренду верхний этаж. Эрвин, единственный ребенок в семье, вырос в оранжерейных условиях: у него было две личные комнаты с видом на внутренний двор, его окружали мать, тетушки Рода и Минни, а также целый батальон нянь и служанок. Финансовое положение семьи позволило не отдавать Эрвина в обычную школу до 11 лет — вместо этого он занимался дома с учителем. Однако когда пришло время присоединиться к системе государственного образования, мальчик не испытал никаких трудностей, хотя был на год старше одноклассников. Осенью 1898 года он поступил в престижную Академическую гимназию, где получил хорошее гуманитарное образование и изучил древние языки. В более поздние годы Шрёдингер переводил Гомера с греческого на английский, а провансальских трубадуров — на немецкий. С первых месяцев обучения внимание одноклассников Эрвина привлекла его невероятная одаренность в области физики и математики. Один из его соучеников вспоминает:
«[...] его способность усваивать была такова, что, даже не работая дома, он понимал и применял на практике эти материалы сразу же, непосредственно в классе. Едва объяснив урок, господин Нейман, наш учитель, [...] мог вызвать Шрёдингера к доске и дать ему несколько упражнений, которые тот решал с обескураживающей легкостью. Для любого нормального ученика физика и математика были сущим кошмаром, но для него они стали любимыми предметами».
С раннего возраста Шрёдингер полюбил театр, а особенно — пьесы австрийского драматурга Франца Грильпарцера. Он хранил программки спектаклей, поля которых были исписаны впечатлениями от представления. Отец Эрвина хотя и не был убежден в правоте Дарвина, познакомил сына с эволюционной теорией — несмотря на то что ее преподавание в те годы было в школах запрещено. После того как мальчик проглотил тысячу или даже больше страниц «Происхождения видов», он объявил себя «приверженцем дарвинизма, разумеется». В юности Шрёдингер проявил себя как настоящий Дон Жуан. Конечно, по числу побед он не мог угнаться за этим соблазнителем, но список покоренных женщин (а ученый вел его в течение всей своей жизни) по длине вполне может составить конкуренцию перечню его научных статей. Первой любовью Эрвина, о которой нам известно, была Лотта, сестра его лучшего друга по средней школе. Осенью 1906 года Шрёдингер приступил к изучению физики в Венском университете, вновь привлекая внимание своими способностями. Другие студенты видели в нем «дух огня за работой, трудившийся с полной отдачей и разрушавший границы между отдельными областями, чтобы самостоятельно и по-новому поставить вопросы перед природой».
Больцман: Атом или жизнь
Людвиг Больцман (1844-1906) так же, как и Шрёдингер, увлекся естественными науками в раннем детстве и так же безгранично восхищался работой Чарльза Дарвина. Вот что он говорил об этом на одной из своих лекций в Берлинской академии наук в 1886 году: «Если вы спросите меня относительно моего убеждения, назовут ли нынешнюю эпоху железным веком или веком пара и электричества, я отвечу, не задумываясь, что она будет называться веком механического миропонимания природы — веком Дарвина». Шрёдингер несколько расширил это определение, включив в него самого венского физика и сделав, таким образом, XIX век также веком Больцмана. Этот ученый стал одним из основателей статистической механики — науки, которая произвела революцию в термодинамике,— построив ее на предположении о том, что материя состоит из атомов. Кажущийся хаос, кишащий множеством молекул, проявляется мировым порядком, таким, каким мы его знаем, и подчиняется макроскопическим законам. Но самое главное, Больцман привнес в энтропию свою статистическую интерпретацию и заново сформулировал второй закон термодинамики, основываясь на механическом подходе. Уравнение, связывающее число возможных совместимых микроскопических конфигураций с макроскопическим состоянием, выгравировано на надгробии, которое установлено на могиле ученого в Вене.
Страсть к науке
Имя Больцмана связано с фундаментальными законами и константами, а также со многими другими понятиями, которые он разработал либо которые служили развитию квантовой механики. Больцман, рожденный в ночь с последнего дня Масленицы на первый день Великого поста, в шутку говорил, что в этом и состоит причина резких смен его настроения от чрезмерной радости до глубокой печали. Контраст между праздником в таверне на первом этаже и страданиями его матери во время родов навсегда сохранился в темпераменте ученого. Жизнь Больцмана также напоминает водоворот: в дополнение к колебаниям настроения от вершин эйфории до пучины отчаяния он постоянно менял место жительства и работы (Вена, Грац, проездом Хайдельберг и Берлин, возвращение в Вену, вновь Грац, некоторое время в Мюнхене, опять возвращение в Вену, Лейпциг и снова Вена — этот город он не уставал покидать). Всю свою жизнь Больцман вел яростные научные споры. Его позиции встречали сопротивление ведущих ученых, таких как Вильгельм Оствальд (нобелевский лауреат по химии) и Эрнст Мах, однако и сторонников у него хватало. Оппоненты Больцмана отрицали существование атомов — основу его теории, — считая, что это оставляет возможность для разного рода спекуляций и не может быть проверено экспериментально. Больцман чувствовал себя в ловушке — не столько из-за этого научного противостояния, сколько все же из-за психологических особенностей личности, и из-за этого впадал в отчаяние. В дополнение он часто страдал от мигреней и в конце концов потерял зрение — а вместе с ним и способность читать. Больцман уже совершал попытки самоубийства, но 5 сентября 1906 года довел начатое до конца: ученый повесился, пока его жена и дочь купались в заливе Триеста.Лучшим другом Эрвина в университете был Франц Фриммель, студент-ботаник, с которым они исследовали самые глухие венские закоулки, до изнеможения рассуждая о смысле жизни, который исчезал, стоило повернуть за угол. Столица Австро-Венгерской империи в те годы была котлом, в котором бурлили самые разные страсти. Любители искусства могли здесь возмущаться обнаженными Климта и Шиле; меломаны — критиковать симфонии Малера или освистывать Шёнберга; а обычные граждане — требовать сноса кубистического дома Адольфа Лоза; и все они изгоняли своих демонов на кушетке Зигмунда Фрейда. Зажиточный класс с упоением отдавался богатой культурной жизни, блеск которой освещал и науку. В области физики наибольшее количество споров вызывал Людвиг Больцман. После выпускных экзаменов в гимназии Шрёдингер считал дни каникул, с нетерпением ожидая начала учебного года, чтобы попасть на занятия к Больцману. Он знал, что на его курсе философии зал был забит, зрители сидели даже на лестницах. Но встреча так и не состоялась: Больцман покончил с собой в начале сентября.
Ни один физик, включая Планка и Эйнштейна, не был наделен такой чувствительностью, как Больцман. Эрвин Шрёдингер
Однако именно под духовным покровительством отца современной термодинамики Шрёдингер приобщился к физике. Больше всего в период обучения на юношу повлияли Фридрих Хазенёрль и Франц Экснер — бывшие ученики Больцмана, вынужденные волею судьбы распоряжаться его наследием. Это наследие коротко можно охарактеризовать так: «атомарные основы материи пронизывают физику своей статистической природой». Именно лекции Фридриха Хазенёрля, который заменил Больцмана на кафедре теоретической физики, укрепили растущий интерес Шрёдингера к этой науке.
Победа хаоса
Законы термодинамики устанавливались эмпирически, этот медленный и трудоемкий процесс занял весь XIX век. В это время были популярны опыты с шестернями, котлами и поршнями, а заголовки первых работ — такие как «Размышления о движущей силе огня и о машинах, способных развивать эту силу» (1824) Сади Карно или «О движущей силе теплоты и о законах у которые можно отсюда получить для теории теплоты» (1850) Рудольфа Клаузиуса — подчеркивают царившее в те годы желание добиться от тепла максимальной промышленной эффективности. В эти годы инженеры регулярно публиковали свои теоретические размышления, патентуя открытия. Они не углублялись в три закона термодинамики, применявшиеся к системам гораздо более сложным, чем паровой двигатель, который служил инженерам источником вдохновения. Эта работа продемонстрировала, что можно анализировать очень сложные системы и формулировать законы, касающиеся их, не понимая внутренней структуры объекта. Для того чтобы изучать свойства воздушного или теплового потока, никто не прибегает к рентгенографии, позволяющей разглядеть эти явления во всех деталях. Первоначально термодинамика ограничивалась изучением материи и ее свойств, не учитывая ее структуры. Постепенно она начала работать и с другими категориями — такими же понятными (объем), не наглядными, но интуитивными (температура или давление), отчасти метафизическими (тепло и энергия) или совсем уж загадочными (энтропия). Сади Карно даже описал цикл работы тепловых машин, не обращаясь к идее молекул и вообще исходя из соображений о том, что тепло есть невидимая жидкость. Подвергнув термодинамику статистической интерпретации, Людвиг Больцман, Джеймс Клерк Максвелл и Джозайя Гиббс совершили переворот в науке. Основываясь на атомарной гипотезе, согласно которой материя состоит из бесчисленного количества частиц (атомов или молекул), подчиняющихся законам механики Ньютона, ученые успешно применили эту гипотезу к идеальному газу (газ, между молекулами которого не действуют силы притяжения или отталкивания). Законы вероятности могут дать весьма сомнительный результат, если применить их к ограниченному числу образцов, но они оказываются безошибочными в большом масштабе. А недостатка в объекте для исследований ученые не испытывали, поскольку материя содержит порядка 2 х 1019 молекул на кубический сантиметр воздуха. Благодаря трудам Больцмана, Максвелла и Гиббса был переброшен мост между физикой повседневной жизни и молекулярным уровнем, и все тайны и сомнения, окружавшие до сих пор теорию термодинамики, рассеялись. Давление теперь объяснялось столкновениями миллиардов молекул со стенками сосуда, а измеряемая температура — их средней скоростью движения... Известные соотношения, такие как обратная зависимость между объемом и давлением газа, продемонстрированная в лаборатории Роберта Бойля, наконец обрели смысл: чем меньше свободного пространства для молекул, тем чаще они наталкиваются на стенки. Этот успех привел к признанию молекулярной гипотезы. Совместно с физикой, статистика открывала возможности для проектов и экспериментов, ранее недоступных. Эта область математики позволяла тестировать атомарные модели вещества, широко экстраполируя их характеристики и сравнивая прогнозы с наблюдениями. Прекрасным примером является проведенный Эйнштейном анализ хаотических траекторий крошечных частиц, взвешенных в жидкости (броуновского движения), которые таким образом реагируют на постоянные столкновения с миллионами молекул воды. Больцман заново открыл классическую термодинамику, введя концепцию энтропии, — ее часто определяют как измерение уровня хаоса в системе. Положение и скорость триллионов молекул — частиц, составляющих газ или вещество, — могут индивидуально варьироваться без каких-либо изменений — с нашей точки зрения — общего состояния образуемой ими системы. Другими словами, бесконечное количество различных состояний на атомном уровне (в микроскопическом масштабе) неразличимо на нашем (в макроскопическом). В терминах термодинамики мы говорим о разных конфигурациях вещества, соответствующих одному и тому же состоянию. Молекулы, находящиеся в воздухе комнаты, постоянно меняют свое положение, хотя человек при этом не заметит никаких изменений температуры, давления или объема, занимаемого молекулами. Энтропия становится мерой микроскопических изменений, которые могут происходить в системе незаметно для нас.Второй парадокс Шрёдингера
Скульптура, посвященная энтропии. Университет Монтеррея, Мексика.
Беспокойный дух Шрёдингера порождает еще один парадокс, не чуждый глубокой философичности, хотя и полностью подавленный квантовой славой пресловутого кота (см. главу 4). Этот парадокс был представлен публике в 1943 году, в цикле лекций в Тринити-колледже в Дублине. Перед самой разношерстной аудиторией (в нее входили дипломаты, церковнослужители, студенты и дамы из высшего общества) ученый попытался ответить на вопрос: что такое жизнь? Если нам дают 60 кг атомов кальция, фосфора, углерода, водорода, азота и кислорода, а также разные другие элементы, такие как сера или натрий, то законы случайности диктуют столько комбинаций, что невозможно прогнозировать какой-либо результат. Эти комбинации характеризуются очень высоким уровнем энтропии. При смешении атомов становится невозможным различить изменения. По истечении огромного количества времени атомы начнут формировать длинные цепочки молекул, которые затем могут объединяться друг с другом, чтобы составить белки, организоваться в клетки, создать ткани, сформировать органы, построить живое существо. В этом существе, как в убранной детской комнате, любые изменения мгновенно бросаются в глаза. Организмы характеризует очень низкий уровень энтропии. Шрёдингер сформулировал свой парадокс следующим образом: «Как организму удается достичь концентрации порядка и избежать беспорядка атомного хаоса второго закона термодинамики?» Чтобы ответить на этот вопрос, он расширяет свою область исследования живых существ. Ценой воплощенного порядка для каждого организма является увеличение чистой энтропии вокруг него. Характерная организация живых существ компенсируется беспорядком, остающимся на их пути в виде накопления отходов, производства газов и экскрементов, деградации потребляемой энергии. Следовательно, жизнь возможна благодаря положительному балансу энтропии.
Эта концепция легко ассоциируется с порядком: чем более система упорядочена, тем легче обнаружить малейшие изменения, и наоборот. По мнению родителей, детские игрушки редко расположены так, что можно говорить о порядке в комнате; напротив, множество конфигураций игрушек свидетельствует о беспорядке. Детская комната может находиться в беспорядке совершенно по-разному, но привести ее к порядку можно всего несколькими способами. И при этом любой случайности достаточно, чтобы вновь посеять хаос. Существует взаимосвязь между упорядоченностью структуры и вероятностью этой упорядоченности. Если предусмотреть место абсолютно для каждой игрушки, то в конечном итоге сохранить конфигурацию, заданную родителями, практически невозможно. Практика показывает, что, в соответствии со вторым принципом термодинамики, детская комната стремится к хаосу. Природные системы развиваются спонтанно: их элементы распределяются в соответствии с конфигурациями наиболее вероятными или характеризующимися наиболее высокой энтропией, то есть наиболее неупорядоченными. Отдавшись случайному наиболее общему стремлению, материя распределяет атомы в соответствии со все более и более неорганизованными конфигурациями. Согласно Больцману, второму закону термодинамики следует давать статистическую интерпретацию. Ничто не мешает системе развиваться в направлении менее вероятных и более организованных конфигураций, но только в качестве этапа ее эволюции. Подталкиваемые случайными взаимными движениями, молекулы воздуха в комнате могут сосредоточиться в одном из углов, хотя это почти невозможно. Такая вероятность существует, но она настолько мала, что до ее реализации пройдет целая вечность. Идеальные газы, для которых удалось успешно применить статистическую механику, представляют собой особый вид материи. Прежде чем сконцентрироваться на взаимодействии света и материи, физики выстроили новые стратегии расширения контроля над новой термодинамикой. Однако вначале необходимо кратко рассмотреть, что же ученые того времени понимали под светом.
Видимое и невидимое
Квантовая механика — это теория, берущая свое начало из взаимосвязей между светом и материей. В годы ее появления ученые обрели новую точку зрения по отношению к свету. Установив связь между феноменами электричества и магнетизма, Максвелл обнаружил, что малейшие изменения в силе тока или в расположении зарядов распространяются в пространстве в форме волны, скорость которой соответствует скорости света в вакууме. В результате ученый пришел к выводу, что электромагнитное излучение и свет являются одним и тем же явлением. На этом основании и мы будем употреблять оба термина в одном значении. Именно таким неожиданным образом была впервые установлена связь между материей — местом расположения заряда — и излучением. Хотя мы ассоциируем свет со зрением, с точки зрения физики глаза практически слепы к электромагнитному излучению. В крайне узком диапазоне, который только и подвластен нашим ощущениям, изменение λ сводится к изменению цвета. Когда волна выходит за рамки 700 нм, она переходит в инфракрасный диапазон и исчезает из нашего спектра. Когда длина волны падает ниже 400 нм, она также исчезает из нашего спектра, поскольку сетчатка глаза не воспринимает ультрафиолетовый диапазон (см. рисунок 1 на следующей странице). Первооткрывателем в этой области был немецкий астроном Уильям Гершель, который в 1800 году поставил простой опыт, доступный каждому. Используя те же методы, что и Ньютон, он разложил луч света с помощью призмы на компоненты. Затем он поместил термометр в каждый диапазон проявившихся цветов. Дойдя до красного, он продолжил сдвигать термометр и замерил температуру инфракрасного спектра. Таким образом было установлено, что даже невидимое для нас излучение обладает энергией. То же самое справедливо и для радиоволн, которые возбуждаются электронами в антенне, или гамма-лучей, источниками которых являются атомные ядра. Излучение по-разному взаимодействует с телами. Чтобы заметить это, достаточно поместить в микроволновую печь стакан воды и кусок алюминия. Вода поглощает микроволны, тогда как алюминий их отражает. Атмосфера непрозрачна для ультрафиолета, однако проницаема для радиоволн.
РИС. 1
Какие законы регулируют взаимодействие между светом и материей? Как тела испускают излучение? Как они поглощают его? Максвелл определил в своих уравнениях свет как волну, и с тех пор ученые имели о нем достаточно четкое представление, но предмет изучения оказался намного сложнее. Термодинамика и электродинамика были двумя драгоценными камнями в короне физики XIX века. Вооружившись ими, исследователи чувствовали себя уверенно, пока не начали брать на абордаж более тонкие и сложные нюансы взаимодействия атомов и молекул. И в этом случае потребность в новом подходе нашла ответ в статистике с ее способностью выявлять скрытые аспекты проблем.
Спектры излучения
Горячие тела испускают электромагнитное излучение, даже если мы его не видим. К примеру, водонагреватель излучает волны, частоты которых соответствуют видимому свету, но их интенсивность так слаба, что наши глаза не могут воспринимать их даже в темноте. Как правило, твердое тело излучает свет в широком диапазоне длин волн независимо от температуры, однако большая часть энергии концентрируется вокруг определенного значения. По мере увеличения температуры тела значение λ уменьшается. Для большей наглядности рассмотрим распределение веса в большой группе лиц. Данные будут распределены в пространстве значений веса, но большая их часть сконцентрируется вокруг среднего значения. Этот эффект сохранится, если даже мы изменим параметры наблюдаемых, просто среди хорошо питающегося населения средний вес будет больше, чем среди бедных жителей, однако в каждой популяции мы заметим крайние степени тучности и худобы. Можно провести аналогию между степенью упитанности населения и температурой тела. Основная часть энергии сосредоточена вокруг определенной длины волны (средний вес), которая варьируется в зависимости от температуры (качество и количество питания). Наши глаза воспринимают волны, длина которых лежит в пределах от 400 до 700 нм. В кузнице сталь краснеет при температуре около 500 °С, а при приближении к 600 °С цвет набирает интенсивность. При температуре от 700 до 800 °С сталь приобретает вишневый цвет, при нагревании свыше 840 °С она становится розовато-желтой, при более чем 900 °С — оранжевой и после 1000 °С — лимонно-желтой. Металл, нагретый выше 1200 °С, избавляется от желтых оттенков, становится белым и подходит к точке плавления.Световые колебания
Для представления света как волны используются две характеристики: амплитуда (высота волны) и длина, или частота волны (степень растяжения или сжатия волны). Представим себе, например, пробку, плавающую на поверхности моря, волны которого перемещаются с одинаковой скоростью. Пробка не движется по горизонтали, она лишь поднимается и опускается в ритме волн. Самое высокое положение совпадает с гребнем волны, самое низкое — с ее подошвой. Вертикальная разница между этими двумя точками и есть амплитуда.
Степень колебания пробки можно рассматривать как интуитивную меру энергии, передаваемой волнами. Она зависит от частоты (v) или от длины волны (λ). Эти две переменные передают одну информацию, причем первая обратна второй: длинной волне соответствует небольшая частота, и наоборот. В случае света, скорость распространения которого в вакууме постоянна (с), имеем: с = λ • ν. Так как с остается константой, то увеличение одной переменной неизбежно приводит к уменьшению другой.
На следующем рисунке λ соответствует расстоянию между двумя соседними гребнями волны. Это расстояние также соответствует расстоянию между любыми другими последовательными парами точек волны, расположенными на одной и той же высоте.
А теперь распространим по направлению к пробке две волны, движущиеся с одинаковой скоростью, но одна из них будет иметь более короткую λ(Α), а вторая — более длинную λ(Β). Первая волна поднимет и опустит пробку несколько раз за определенное время, а прохождение второй волны более гладкое.
Высота расположения пробки соответствует высоте волны в той точке, где она находится. Если волна начинает цикл подъемов и спадов, пробка повторяет их. Вот почему короткая, энергичная λ соответствует повышенной ν (пробка часто проходит одни и те же позиции), а длинная, спокойная λ соответствует низкой ν (пробка проходит эти позиции с меньшей частотой). Очевидно, что волны с короткой λ вызывают более значительное волнение, но потребляют при этом больше энергии, чем волны с длинной λ.
Так же как распределение веса у населения может быть проиллюстрировано графиком, можно графически представить распределение плотности энергии для каждой длины волны при заданной температуре. Такой тип представления называется энергетическим спектром. Для изучения взаимосвязей материи и света нужно было создать экспериментальную ситуацию, свободную от взаимодействий с другими явлениями, которые могут усложнить анализ. Физики приступили к поискам экспериментального поля, в котором атомы и электромагнитные волны могли бы свободно взаимодействовать. Решение дали печи. Когда печь, изолированная от окружения, нагревается и достигает равновесного состояния, она испускает универсальный спектр излучения, зависящий исключительно от температуры. Каким бы ни были материал стенок печи, ее форма и размеры, все печи при одинаковой температуре излучают один и тот же спектр. Этот универсальный спектр выражает глубокое и прямое взаимодействие между материей и излучением. В лаборатории при открытии печи измеряется спектр, показанный на рисунке 2. Видно, как энергия концентрируется вокруг самой высокой точки каждой кривой и как λ, в соответствии с этим экстремумом,смещается к более короткой длине волны (более энергетичной) по мере возрастания температуры (7). Это смещение было продемонстрировано в 1893 году немецким физиком Вильгельмом Вином и показано на графике пунктирной линией: максимальная λ обратно пропорциональна Т. С увеличением температуры максимальная λ уменьшается. Речь идет о прогнозируемой тенденции: короткие длины волн соответствуют большому количеству энергии и высокой температуре.
РИС. 2
При наблюдаемых температурах большая часть света находится за пределами видимого спектра; ситуация меняется, когда Т растет, а λ уменьшается (рисунок 3). Мы можем вывести из этих кривых другой важный результат, связанный с эмиссией излучения из твердых тел: полная плотность энергии, излучаемой печью (все, что находится ниже кривой), прямо пропорциональна четвертой степени температуры тела, выраженной в градусах Кельвина. Это закон Стефана — Больцмана, открытый эмпирически в лаборатории австрийского физика Йозефа Стефана и продемонстрированный пять лет спустя с помощью аргументов термодинамики его учеником Людвигом Больцманом.
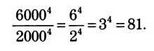
На рисунке 4 зона под кривой, соответствующая 6000 К, в 81 раз больше, чем та, что ограничена спектром излучения до 2000 К:
Спектр излучения печи определяет границы поля, на котором будет рассмотрено, насколько эффективно классическая физика может теоретически обосновать эти кривые при моделировании поведения газа и света. Этот вызов согласился принять Макс Планк — прусский ученый, от которого, после 40 лет спокойной работы, никто не ожидал великих свершений.
РИС. 3
РИС. 4
Революция поневоле
Хотя отдельные предпосылки можно найти и в более ранних работах, авторство квантовой механики связывают с именем Макса Планка, который 14 декабря 1900 года представил Немецкому физическому обществу результаты своих исследований в статье под названием «К теории распределения энергии излучения нормального спектра». Это исследование, появившееся в последний месяц последнего года XIX века, поставило радостную фермату над целым веком развития науки, хотя описанное в нем открытие вскоре обрушило все основы научного знания. До этих пор Планк в своей научной карьере не занимался изучением и применением второго закона термодинамики. Его любопытство было направлено на поиски абсолютных законов, таких принципов, которые сохраняются во все времена. Именно поэтому универсальное излучение печи привлекло внимание ученого, которого часто называют революционером поневоле — и определение не отдает должного упорству исследователя. Из всех ученых, содействовавших рождению квантовой теории, Планк, без сомнений, следовал наиболее консервативным принципам. Так, в течение многих лет он отрицал существование атомов и защищал непрерывность материи, и эта позиция была понятна, ведь специальность Планка — классическая термодинамика — не углублялась в недра изучаемых систем. И учитывая это, выглядит настоящей иронией судьбы тот факт, что именно Планку приписывают ответственность за нанесение последнего удара по классической непрерывности. Также ученый выступал против любой статистической интерпретации второго закона, он был убежден в том, что увеличение энтропии абсолютно, хотя анархический характер этой идеи внушал Планку некоторое отвращение. Стремление к знаниям, смешанное с предрассудками, ставило его в сложное положение. В статьях ученого можно заметить осторожность профессионального игрока в покер, который рискует целым состоянием, и разгадать его блеф не всегда просто. В октябре 1900 года Планк открыл математическую кривую спектра излучения, видимую на предыдущем рисунке. Он обнаружил функцию, зависящую от частоты и температуры, что привело — при подстановке числовых значений v и Т — к тем же кривым, что были получены в лаборатории. Так ученый обнаружил математическую модель закона излучения, который он искал. Открытие само по себе было заметным успехом, но амбиции Планка не остановились на этой простой формуле: он хотел сделать ее следствием физической картины мира, в котором ее можно было бы последовательно применять. Ученый безоговорочно признавал свой собственный постулат: «С того момента, как я сформулировал [закон], я старался придать ему физический смысл». Едва ли он сам понимал, насколько обескураживающим будет этот искомый смысл.Это одна из наиболее важных и трансцендентальных интерполяций в истории физики; она обнаруживает почти сверхъестественную физическую интуицию. Макс Борн о формуле излучения, открытой Планком
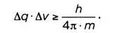
С самого начала Планку не хватало важных элементов, которые позволили бы понять, что происходит внутри печи. Например, на тот момент, когда Планк решил обратиться к задаче, о существовании нейтронов и протонов было еще неизвестно. Электроны вошли в физику лишь за три года до этого, в 1897 году. Планк мог опираться на два важных достижения физики XIX века — термодинамику и электродинамику Максвелла. Шотландский математик заявил, что колебание электрического заряда генерирует электромагнитные волны — именно так работают антенны, которые произвели настоящую революцию в мире телекоммуникаций (сегодня нас окружают микроволны, испускаемые нашими мобильными телефонами). В радиоантенне электромагнитная волна приводит в движение электроны, которые встречает на своем пути. Таким образом, стенки печи взаимодействуют с излучением благодаря возвратно-поступательному движению электронов. Последние остаются в своих атомах и колеблются вокруг фиксированных точек. В статье Планк не упоминает ни об электронах, ни о материи и говорит только о «колебании» (осцилляторе, генераторе колебаний). Пустая и остывшая печь не испускает никакого излучения. Нагревание системы мгновенно вызывает возбуждение электронов и испускание электромагнитных волн. Эти волны распространяются, пересекают пространство печи и в конечном счете сталкиваются с другими стенками и другими электронами, при этом ведут себя как принимающие и излучающие антенны. Взаимодействие между светом и материей началось. Через некоторое время достигается стабильная ситуация: печь наполняется излучением, разделенным на разные частоты в зависимости от уже упомянутой спектральной кривой. Планк стремился показать, что как только будет достигнуто равновесие, подтвердится второй закон термодинамики. Каким бы изменениям ни подвергалась печь, энтропия в конечном итоге со временем возьмет верх. Таким образом, ученому необходимо было определить все микроскопические конфигурации, связанные с каждым макроскопическим состоянием системы, присвоить каждой конфигурации вероятность и отыскать наиболее вероятную (с максимальной энтропией). В этот момент научная решительность Планка заставила умолкнуть его предрассудки. У него не было иного выбора, кроме как применить статистическую интерпретацию Больцмана и идею о том, что вероятность каждого состояния пропорциональна числу микроскопических конфигураций, совместимых с этим состоянием. Он также воспользовался другой находкой венского физика для расчета вероятностей. Для вычисления энтропии можно прибегнуть к двум типам переменных: дискретным или непрерывным. Если мы решим выделить группу из 20 зрителей в кинозале, то увидим, что места, которые они могут занимать, ограничены. Каждый зритель занимает конкретное место, и на плане зала каждая смена места выражается резким скачком. В этом случае мы говорим о дискретной переменной. Но если мы должны выделить в коробке группу из 20 молекул, вариантов их расположения безграничное множество. Чтобы изменить положение, молекулам не нужно делать резких скачков: им достаточно переместиться на сколь угодно малое расстояние, и это уже будет новое положение. С математической точки зрения работать с дискретными переменными гораздо удобнее, чем с непрерывными. Идея
РИС. 5
РИС. 6
РИС. 7
Больцмана заключается в том, чтобы взять непрерывное пространство и представить его как дискретное. Возьмем, к примеру, ограниченную квадратом поверхность, как показано на рисунке 5.
В ограниченном пространстве число позиций, которые может занимать частица, бесконечно. Как в таком случае их учитывать? Достаточно нанести сетку и считать, что все точки, лежащие в одной клетке, занимают одно и то же положение (рисунок 6).
Можно пронумеровать состояния, как места в кинозале, и сосчитать их. Чем тщательнее процесс выборки, тем точнее будет приближение (рисунок 7).
Когда площади клеток стремятся к нулю (□—>0), мы возвращаемся в наше непрерывное пространство с бесконечным числом точек. Таким образом, при работе с непрерывными переменными стратегия состоит в том, чтобы выбрать диапазон вероятностей и установить математическую структуру для учета состояний и определения вероятностей. Затем сетка удаляется, и происходит переход дискретного вычисления в непрерывное.
Изучая проблему печи, Планк должен был распределить доступную энергию между осцилляторами стенок и внутренним излучением. Чтобы провести расчеты, он решил выразить энергию в дискретных фрагментах: ε = h • v, где h — константа, a v — частота излучения.
Определяя вероятность каждого положения и устремляя h к нулю, он восстанавливал непрерывное пространство и добивался желаемого результата. Однако еще до достижения последнего этапа, в то время как энергия оставалась дискретной, Планк уже пришел к правильной формуле излучения. Что случилось бы, если бы он захотел идти до конца? Тогда он получил бы результат, согласно которому энергия стремилась бы к бесконечности. На практике это означало бы, что при открывании печи из нее вырвалась бы смертельная вспышка ультрафиолетовых лучей,— так гласила классическая физика.
Но уменьшить h до бесконечности было невозможно. Кроме того, в соответствии с уравнением излучения и при сравнении теоретической и экспериментальной кривых постоянная в конечном итоге достигла определенного значения, которое не уменьшалось: 6,62 • 10-34 Джс. Другими словами, осциллятор, вынужденный совершать колебательные движения вперед и назад, за 1 секунду приобретает энергию, равную 6,62 • 10-34 Дж. Речь идет о совершенно незначительном количестве энергии: 1 Дж позволяет поднять небольшое яблоко весом около 100 г на высоту 1 м.
Вскоре Эйнштейн назвал каждый из этих фрагментов энергии квантом, а сам процесс фрагментации — квантованием. Так родились первые термины герметичного языка квантовой физики — термины, которые дали ей имя. Константу h назвали постоянной Планка, в честь создателя. Она играет роль датчика, показывающего, с какого масштаба учитывается прерывистость энергии. Дискретизация, возникающая при этом, чрезвычайно тонкая, наши органы чувств не отличают ее от непрерывности — и это объясняло, почему дискретная природа энергии до сих пор оставалась незамеченной, хотя и вовсе не уменьшало растерянности Планка. Когда мы встаем и начинаем бежать, то считаем, что наша кинетическая энергия начинает расти с нулевого значения непрерывно, а не рывками, пусть даже ничтожными и малозаметными. Подобная идея противоречит классическому духу.
Много лет спустя, в 1931 году, Планк вспоминал эту ситуацию словами:
«...могу охарактеризовать всю процедуру как акт отчаяния, так как по своей природе я миролюбив и не склонен к сомнительным авантюрам. Однако я уже бился шесть лет (с 1894 года) над проблемой равновесия между излучением и веществом без каких бы то ни было успехов [...] требовалось найти любой ценой теоретическую интерпретацию, однако эта цена могла быть высокой».
Квантование энергии так беспокоило Планка, что он пытался ограничить его и замкнуть в конкретном случае. Ученый предпочел сказать себе, что это был побочный эффект, связанный со специфическим механизмом взаимодействия осцилляторов. Можно провести параллель с ведром, которое используют для поднятия воды из колодца. Количество воды, извлеченной из колодца, кратно объему ведра, но перемещаемая жидкость (энергия) непрерывна и за пределами сосуда может быть представлена любой величиной.
Однако в это время статьи Планка внимательно читал один молодой профессор, который изо всех сил пытался свести концы с концами, давая частные уроки, и при этом уже воспринял идеи, перевернувшие физику. Альберт Эйнштейн обладал особым талантом обобщения, и печь предоставила ему все возможности, чтобы дать волю этому дару.
В 1905 году он, будучи на тот момент исключенным из академических кругов, опубликовал серию статей, которые не просто сделали его знаменитым, но вписали его имя в пантеон истории науки. В своем письме другу Конраду Хабихту он характеризует одну из этих статей как «весьма революционную». Быть может, он ссылается на наброски к специальной теории относительности или на приложение, в котором он решал уравнение Е = mc²? На самом деле ученый писал о статье, озаглавленной «Об одной эвристической точке зрения, касающейся возникновения и превращения света», в которой рассматривал квантовую гипотезу Планка. Эйнштейн начал свое размышление, затрагивая трудности концептуального порядка:
«Согласно теории Максвелла, во всех электромагнитных, а значит и световых явлениях энергию следует считать величиной, непрерывно распределенной в пространстве, тогда как энергия весомого тела, по современным физическим представлениям, складывается из энергий атомов и электронов. Энергия весомого тела не может быть раздроблена на сколь угодно большое число произвольно малых частей, тогда как энергия пучка света, испущенного точечным источником, по максвелловской (или вообще по любой волновой) теории света, непрерывно распределяется по все возрастающему объему».
Существует противоречие между непрерывностью света и дискретностью материи. Эйнштейн разыскал в работах Планка решение, позволяющее связать между собой эти понятия, препарировав энергию: «Он убедительно доказал, что помимо атомной структуры предмета существует также атомная структура энергии». Очевидно, сам Планк не слишком одобрял такую интерпретацию своей работы:
«[...] Я думаю, что [...] можно было бы продвинуться дальше и найти решение путем поиска значения кванта энергии h х v в совместных действиях, с помощью которых осцилляторы влияют друг на друга».
Эйнштейн поддерживал идею о том, что сегментация присуща излучению и сохраняется, даже когда излучение распространяется на удалении от материи. Видимая только издалека, высокая плотность квантов света имеет знакомые очертания классической максвелловской волны.
Значение постоянной Планка настолько мало, что дискретность энергии остается неразличимой в нашем масштабе, так же как невозможно различить каждый мазок в картинах импрессионистов. Постепенно, по мере приближения, небольшие волны цвета — которые, кажется, растворяются друг в друге в неуловимых переходах — делятся на небольшие пятна. То же самое происходит с квантовым импрессионизмом света. Нельзя игнорировать его фрагментарную природу во взаимодействии с веществом.
В своей первой статье Эйнштейн использовал идею фрагментации энергии в печи Планка и применил ее к трем известным явлениям, чтобы объяснить их и доказать, что фрагментация не является прерогативой осцилляторов. Феномен, который сделал ученого знаменитым, называется фотоэлектрическим эффектом. Через несколько лет за его объяснение Шведская королевская академия наук присудит Эйнштейну Нобелевскую премию, и это при том, что она откажется принять во внимание две его теории относительности — слишком смелые теоретические гипотезы, ничем не подтвержденные.
На протяжении многих лет Эйнштейн все больше развивает квантование. Согласно его знаменитому уравнению относительности (Е = mc²), энергия заключает в себе компонент, связанный с массой: следовательно, кванты необходимо рассматривать в терминах частиц. Названные фотонами, они обозначают бомбардирующие частицы света, которые могут сталкиваться, к примеру, с электронами и заставлять их менять траекторию. В 1923 году в лаборатории штата Миссури Артур Комптон подтвердил эту гипотезу, бомбардируя атомы рентгеновскими лучами (лучи света с очень короткой длиной волны). Планк, встревоженный последствиями своего успеха, призывал физиков к сдержанности: «Введение кванта должно совершаться настолько консервативно, насколько это возможно.
То есть нужно вносить только те изменения, которые абсолютно необходимы по определению». К счастью, это не было общим настроением эпохи.
Фотоэлектрический эффект
РИС. 1
РИС. 2
РИС. 3
Каждый квант сr, с частотой vx, попадает в электрон со скоростью Vr Каждый квант с2, с частотой v2, попадает в электрон со скоростью V2.
Как можно видеть на рисунке 1, направление пучка света на металлическую пластину вызывает высвобождение электронов. В 1902 году венгерский физик Филипп Ленард обнаружил, что скорость частиц, выбиваемых из металла, увеличивается с ростом частоты падающего света, но не с ростом его интенсивности (рисунки 2 и 3). Эйнштейн предположил, что свет состоит из квантов. Энергетический заряд, переносимый каждым квантом, зависит от частоты. Таким образом, при увеличении частоты отдельные высокоэнергетические кванты передают энергию отдельным электронам, вызывая рост их скорости. И напротив, увеличение интенсивности света приводит к росту количества квантов, способных воздействовать на электроны с той же энергией. В этом случае из пластины будет выбиваться больше частиц, но их скорость будет примерно одинакова.
Военный период
Ранние работы Шрёдингера, находившегося под влиянием учителей, лежат в сфере гибридной, неполной физики: с одной стороны, они словно поставлены на якорь в классическом мире, который находится под угрозой исчезновения, а с другой — отваживаются отправиться в туманные края. Они — плоды переходной науки, которую триумф квантовой физики впоследствии уничтожит. В мае 1910 года, после защиты диссертации на тему «Электрическая проводимость на поверхности изоляторов во влажном воздухе», Шрёдингеру было присвоено звание доктора. Сложно разглядеть в этом названии «дух огня» (пролагающий свой собственный путь и по-новому ставящий вопросы перед природой), который так восхищал его соучеников. Эта работа исследовала влияние атмосферной влажности на электропроводимость некоторых изоляторов (стекло, черное дерево, янтарь и так далее) и имела экспериментальный характер. Главная задача Шрёдингера состояла в изучении изоляции научных приборов в условиях сурового климата. Едва он закончил учебу, как в отделе теоретической физики освободилось место ассистента. Наличие академических заслуг и великолепного досье позволило Шрёдингеру рассчитывать на эту должность, но на его пути возникли два препятствия: военная служба и несчастный случай с его университетским товарищем Гансом Тиррингом, который произошел во время катания на лыжах в окрестностях Мариацелля, живописного местечка в Штирийских Альпах. Неудачно упав, Тирринг сломал ногу и, таким образом, был освобожден от службы в армии. Он и занял вакансию ассистента, пока Шрёдингер носил военную шинель. Вернувшись к гражданской жизни через несколько лет, Шрёдингер должен был согласиться на должность, менее соответствующую его научным интересам. Он стал ассистентом в Институте экспериментальной физики под руководством Экснера. Вот как Шрёдингер описал свой опыт работы в лаборатории: «За эти годы я усвоил две вещи: во-первых, я не наделен талантом к экспериментальной работе; во-вторых, моя родина и мои соотечественники не талантливее меня в том, что касается реализации первоочередных экспериментальных проектов». Без сомнений, исследователь узнал и многие другие вещи. Экспериментируя с оптическими инструментами, он заметил аномалию в своем восприятии цвета, которая уменьшала его чувствительность к зеленому и увеличивала диапазон различаемых оттенков красного. Экспериментальный багаж Шрёдингера позволил ему также отнести себя «к тому роду теоретиков, которые понимают, что значит проводить измерения путем прямого наблюдения». В 1913 году, на следующий день после Рождества, ученый преодолел еще один этап в своей академической карьере и удостоился звания venia legendi (хабилитированный доктор), благодаря чему мог начать преподавать в качестве приват-доцента, взимая скромную плату с учеников, которых ему удавалось привлечь на свои занятия. В своих первых статьях Шрёдингер продемонстрировал исключительную математическую виртуозность, основанную на интуиции физика — хотя еще и не отточенной. Вена после смерти Больцмана лежала в стороне от передовых научных течений, что препятствовало созреванию Шрёдингера, поскольку ему так и не приходилось сталкиваться с проблемами, которые стали бы настоящим вызовом его способностям. Помимо этого, внимание Шрёдингера отвлекала проблема иного рода, которая ставила под угрозу его зарождающуюся карьеру. Проблему звали Фелиси. Можно смело утверждать, что занятия наукой и интеллект были не слишком престижны для буржуазного брака. Мать Фелиси, баронесса Краусе, была уверена, что Эрвин — совсем не та кандидатура, которая могла бы составить счастье ее дочери. Приват-доцент с почти нулевым доходом не был способен поддерживать требуемый образ жизни. Отчаявшись, Шрёдингер умолял отца принять его в свой бизнес. Рудольф возражал ему с тем же упорством, которое выказывала баронесса по отношению к браку. Жизнь оказалась сильнее любви, и все обещания, которыми втайне обменялись влюбленные, были забыты. Шрёдингер был готов пожертвовать ради Фелиси всем. Но что у него было? Вероятно, эта романтическая неудача остудила пыл Шрёдингера в отношении традиционного брака, что и объясняет его дальнейшую бурную личную жизнь. Визитной карточкой венских физиков — такой же, как торт «Захер»,— были исследования атмосферного электричества и радиоактивности. Летом 1913 года университет нанял Шрёдингера для сбора данных на станции в Зеехаме, неподалеку от Зальцбурга. Регистрация следов радона в воздухе была скукой смертной. Впрочем, деревушка Зеехаме на берегу озера Матзее во время летних каникул оживлялась, и Шрёдингер нашел лекарство от скуки — после того как директор проекта представил ему няню своих детей, Аннемари Бертель. Эта девушка, дочь судебного фотографа, нашла молодого профессора «весьма очаровательным», и после этого радон был окончательно отодвинут на второй план. Разница в возрасте несколько смущала Шрёдингера, поэтому он предпочел выждать несколько лет, прежде чем сделать официальное предложение.Если так будет продолжаться и дальше, я закончу тем, что стану физической и духовной развалиной. Я отвык от работы и не могу сконцентрироваться даже на полчаса. Шрёдингер, в годы пребывания на фронте
Писательница Эдит Уортон вспоминала, как одним прекрасным вечером в июне 1914 года она подошла к небольшой группе людей, толпившихся перед кафе «Отея»: «Ты не в курсе? Эрцгерцог Франц Фердинанд был убит... в Сараево... Где находится Сараево? Его жена была рядом. Как ее звали? Они оба мертвы». Уортон признавала, что большинству из них имя эрцгерцога совершенно ничего не говорило, и разговоры быстро вернулись к недавно опубликованной книге, новому приобретению Лувра, последней выставке... Венское общество не слишком взволновала новость о том, что молодой сербский националист застрелил эрцгерцога Австрии. Казалось даже, что старый император, недовольный преемником, которого ему предписывала линия наследования, был больше рад новому дофину. В других странах Европы также никто не замечал признаков надвигающейся бури. Трещина, расколовшая хрустальный купол бального зала, ширилась, как смертоносная паучья сеть, оставаясь совершенно невидимой. В последний день июля 1914 года Рудольф Шрёдингер зашел в кабинет своего сына в Институте физики, чтобы передать ему только что пришедшую повестку. Они вместе отправились приобрести два пистолета, из которых Эрвин не сделает ни одного выстрела. В последующие годы он служил в звании офицера артиллерии во главе нескольких батарей в разных местах Италии. Сперва Шрёдингер высадился на перевале Предиль, где первый и последний раз мог любоваться огнями святого Эльма, — это было одним из его самых ярких военных воспоминаний. В конце 1915 года Шрёдингер отличился храбростью во время третьей большой битвы при Изонцо, в которой пали 80 тысяч австро-венгерских и 125 тысяч итальянских солдат. Основной обязанностью ученого было применение ньютоновской физики: он отвечал за вычисление траектории снарядов и наведение орудий, и этот долг он исполнял безупречно даже под самыми свирепыми обстрелами. По мере возможности он пытался извлечь выгоду из своего положения физика-теоретика, учитывая, что в конце концов единственной его лабораторией была его собственная голова. Именно во время войны произошло знакомство Шрёдингера с общей теорией относительности: «В Просекко состоялось мое первое знакомство с теорией Эйнштейна 1916 года. Хотя у меня было полно времени, ее понимание давалось мне с трудом». Следует отдать должное скромности ученого: он настолько овладел сложным формализмом теории, что опубликовал две статьи, которые привлекли внимание самого Эйнштейна, — успех, мало кому доступный в то время. Одна из статей Шрёдингера затрагивала наиболее сложный аспект теории — неоднозначность, возникающую в определении гравитационной энергии.
Эрвин Шрёдингер с родителями и тетей Минни (справа) в Инсбруке в 1892 году.
Австрийский физик в возрасте семи лет.
В 1898 году Шрёдингер поступает в Академическую гимназию в Вене, где будет учиться в течение восьми лет. Эта фотография датируется примерно 1905 годом.
Австрийский солдат Эрвин Шрёдингер в 1915 году.
Год спустя в Просекко он познакомится с теорией относительности Эйнштейна. В те моменты, когда у Шрёдингера не было доступа к научной литературе, реальность войны представала перед ним во всем своем ужасе. Кроме того, ему постоянно снилась Лотта, его первая школьная подружка: «Это сравнимо с тем, как если бы я все еще был под впечатлением того вечера, когда впервые взял ее за руку». Во время штурма Плаута в провинции Тренто, 7 октября 1915 года, от взрыва гранаты погиб учитель Шрёдингера, Фридрих Хазенёрль. Весной 1916 года Шрёдингер был повышен до обер-лейтенанта, на следующий год — переведен в Вену. Новое назначение предполагало меньше риска. Он отвечал за преподавание метеорологии первокурсникам в офицерской школе на юге от Вены, в городе Винер-Нойштадте. Там ученый и оставался до перемирия в 1918 году. Чтобы преодолеть отчаяние и голод послевоенного времени, он всецело окунулся в философию, как делал это в самые трудные часы на фронте. Шрёдингер прочитал полное собрание сочинений Шопенгауэра, который приобщил его к пессимизму, мизантропии и восточной философии. Находясь в мистическом трансе, он покрывал страницы блокнотов мыслями, вдохновленными чтением Упанишад. Страсть к священным индийским текстам пожирала его так же сильно, как и несколькими годами ранее — любовь к Фелиси. Когда ученому предложили должность профессора теоретической физики в Черновцах, он согласился — с тайным намерением ограничить занятия наукой аудиторными часами, а все свободное время посвящать всестороннему изучению веданты. Однако падение Австро-Венгерской империи прервало это погружение в восточный мистицизм: «Вмешался мой ангел-хранитель: внезапно Черновцы больше не были частью Австрии. Все осталось на бумаге. Я вынужден был остаться верным теоретической физике и, к моему большому удивлению, время от времени собирал ее плоды».
Глава 2 Волновое уравнение
Брешь, пробитая Эйнштейном и Планком в здании классической детерминированности, расширялась по мере того, как прогрессировала квантовая механика. В тот момент, когда растерянность достигла своего пика, Гейзенберг предложил отказаться от любых интуитивных представлений об атоме, а Шрёдингер положил на стол классическое уравнение, которое, казалось, вернет смысл физике. Мы никогда не узнаем точное число погибших в Первой мировой войне, но оно оценивается примерно в 10 миллионов, не считая раненых и искалеченных солдат. Однако потери семьи Шрёдингера связаны не с войной, а с лишениями послевоенного времени. Двум гордым империям, немецкой и австровенгерской, которые держали мир в страхе в течение четырех лет, пришлось пережить крайне болезненный период. Кайзер Вильгельм II отправился в изгнание в Нидерланды, променяв свою страсть к военной стратегии на садоводство, а молодой император Карл I был сослан на остров Мадейра, где заболел пневмонией и умер. До весны 1919 года Австрия подвергалась продовольственному эмбарго, наложенному союзниками, и население встало на грань голодной смерти. Шрёдингер пытался найти убежище от нужды в аскетизме древней индуистской мудрости, но позже, в возрасте 73 лет, так вспоминал эти годы: «Война принесла нам, жителям Вены, неспособность удовлетворять даже основные потребности. Голод был наказанием, выбранным победоносной Антантой, чтобы отомстить ее врагам за бесконечные нападения подводных лодок. Голод свирепствовал по всей стране, за исключением ферм, куда мы отправляли наших бедных женщин просить яиц, масла и молока. В обмен они предлагали прекрасные вещи (одежду ручной работы, юбки и так далее), но несмотря на это их высмеивали и обращались с ними как с нищенками». Семья дошла до того, что начала пользоваться бесплатными обедами для бедняков — воплощением искусства готовить из ничего. Но в таких столовых они могли встречаться со старыми знакомыми, и эти встречи, пожалуй, были главными социальными событиями в Вене в то время. Даже всегда веселая и энергичная молодежь, вернувшаяся с фронта, чувствовала изнурение, а сам Шрёдингер после заражения легочной инфекцией страдал от туберкулеза. Великолепное здание, приобретенное дедом Бауэром в самом центре первого округа Вены, разрушалось. Из-за отключенного газоснабжения квартира в пятом округе была погружена в холод и темноту. Заядлый читатель Рудольф боролся с потемками, устанавливая в своей библиотеке рудничные лампы, но они не только освещали полки с книгами, но и источали нестерпимое зловоние. Георгина до войны перенесла сложную хирургическую операцию в связи с раком молочной железы и никак не могла восстановиться. Рудольф, которому было уже за 70, быстро слабел. Завод, которому он посвятил всю свою жизнь, прекратил работу. Ему становилось все труднее преодолевать пять лестничных пролетов, отделявших квартиру от улицы. Отец Шрёдингера умер в канун Рождества 1919 года — он мирно скончался перед ужином, сидя в своем кресле-качалке. Шрёдингер так никогда и не избавился от чувства вины из-за того, что он постоянно стремился сбежать из родного дома с его гнетущей атмосферой. «Даже если я отказываюсь это признать, я способен на такое и сегодня: в этот вечер я, как и в предыдущие недели, оставил свою мать одну с безнадежно больным человеком. При этом я понимал, как важен для нее этот праздник, я знал, что мой отец отмечает его последний раз. Поэтому сегодня Рождество не наполняет меня нежностью, и вообще я не жду от него ничего хорошего. Этот праздник прежде всего напоминает мне об уклонении от ответственности». Угрызения совести долго после этого терзали молодого человека. Его одолевали кошмары, в которых он распродавал библиотеку отца и научное оборудование. В эти годы Шрёдингер посвятил себя изучению восприятия цвета. Возможно, вызвано это было влиянием Шопенгауэра, который, посетив Гёте в Веймаре, закончил сочинение о физиологии зрения и присутствовал на оптических экспериментах поэта и исследователя. Этой же темой занимался и Физический институт Вены, в частности Экснер — учитель и один из руководителей экспериментов Шрёдингера — и Фридрих Кольрауш. Эта дисциплина, находящаяся на пересечении науки и искусства, очень заинтересовала молодого ученого, поскольку давала возможность проверять свои ощущения экспериментальными данными. Так появилась работа под названием «Основные принципы метрики цветов в дневном свете». Но не только лаборатория уберегала ученого от тягот окружающей жизни. К этому времени он очень сблизился с Аннемари Бертель. Через какое-то время после трагического Рождества Шрёдингеру предложили должность профессора на кафедре теоретической физики в его университете. Но положенного жалования катастрофически не хватило бы на то, чтобы содержать семью, а ведь Шрёдингеру было уже 32 года и он твердо решил жениться. Аннемари работала секретарем генерального директора крупной страховой компании, и ее месячная зарплата была больше годового вознаграждения, предложенного университетом. Конечно же, Эрвин отклонил это предложение, и пост вновь достался его другу Гансу Тиррингу. Сам Шрёдингер в поисках финансовой стабильности решил покинуть родную Вену и отправился в Германию, которая меньше Австрии пострадала от послевоенной инфляции. Основной мотивацией ученого была финансовая, но эта перемена декораций принесла его работе огромную пользу. Шрё- дингер встретился с другими учеными, не входящими в его комфортный венский круг и потому проявлявшими большую критичность. Полученный импульс привел ученого в авангард науки. Первые шаги в Берлине он сделал в качестве ассистента Макса Вина в Йенском университете весной 1920 года. Его сопровождала Аннемари, ставшая его женой 24 марта этого же года. Кажется, что огонь их медового месяца погас еще до истечения первого года совместной жизни. Некоторые предполагали, что причиной этому было бесплодие Аннемари, другие считали, что чета Шрёдингеров имеет абсолютно несовместимые характеры. Хотя сами супруги этого, казалось, не осознавали. Аннемари не имела научного образования и была мало склонна к поэтическому или философскому самоанализу. Она любила музыку, которая вызывала тайную неприязнь у Эрвина, убежденного в том, что именно музицирование могло стать причиной рака у его матери, которая часто играла на скрипке. Аннемари мечтала о пианино, но Шрёдингер всеми силами противился этому. Часто казалось, что пара находится на грани развода, но до этого так и не дошло. Постепенно Шрёдингеры убедились, что хотя их отношения не укладываются в романтический идеал, они все равно могут быть прекрасными. Они решили воспользоваться всеми удобствами буржуазного брака — проверенного и эффективного института — и утолять страсть в другом месте. Оба пускались в авантюры, но в итоге всегда возвращались друг к другу, чтобы укрыться от урагана чувств внешнего мира. Аннемари и Эрвин были друзьями и соучастниками — роли, далекие от мелодрамы, но, тем не менее, прекрасные. Однажды Аннемари призналась общему другу: «Мне было бы намного легче жить с канарейкой, чем со скаковой лошадью, но я предпочитаю скаковую лошадь». Она никогда не скрывала своего восхищения мужем и приложила много усилий, чтобы создать ему комфортные условия, в которых он мог посвятить себя работе. Шрёдингер принял эту жертву с индуистской отрешенностью: «Цель мужчины — сохранять и развивать свою карму. У женщин цель похожая, но несколько иная: она состоит, если можно так выразиться, в построении жилища, принимающего карму мужчины». Без сомнения, Аннемари очень помогла Эрвину с реализацией его кармы.
Шрёдингер женился на Аннемари Бертель перед отъездом в Вену, 24 марта 1920 года.
Фото со свадебного приема. Сидящие, слева направо: пара Кольрауш (Вилма и Фридрих), Аннемари и Эрвин.
Едва Шрёдингер оставил родной дом, как его начали преследовать семейные несчастья. Инфляция уничтожила наследство деда Бауэра, и он был вынужден перебраться в квартиру своей дочери. Сама Георгина тоже страдала от финансовых неурядиц, и при этом у нее начался рецидив рака. Шрёдингер всегда помнил о невзгодах, которые пережила его мать, поэтому перед смертью завещал небольшое состояние Аннемари. Однако в 1920 году его средств было недостаточно, чтобы поддерживать вдовствующую мать. Все, что он мог сделать, — это время от времени принимать ее у себя и видеть, как болезнь подтачивает ее силы. В апреле 1921 года, на 85 году жизни, умер дед Шрёдингера, Александр Бауэр, а в сентябре за ним последовала и Георгина. Так завершился тяжелый для семьи период. Менее чем за два года Шрёдингер потерял родителей и деда. За это же время он сменил три города и четыре академические должности: ассистент Макса Вина и доцент кафедры теоретической физики в Йене, экстраординарный профессор в Высшей технической школе Штутгарта и профессор теоретической физики в Бреслау (ныне Вроцлав, Польша). Позднее Шрёдингер назовет этот период «ранними годами странствий». Впрочем, в немецкой культуре профессиональная мобильность была обычным делом. Университеты соединялись между собой, словно сообщающиеся сосуды, и каждая вакансия вызывала целую серию перестановок и продвижений. Десятки преподавателей встречались на железнодорожных станциях, направляясь из Вены в Лейпциг, из Гёттингена в Берлин, из Гамбурга в Цюрих, от одного поста к другому. Для Шрёдингера странствия по Германии словно стали внутренним путешествием к квантовой механике. Как сказал об этом в свое время Артур Эддингтон, «в ту эпоху квантовая теория была немецким изобретением». В Бреслау, например, Шрёдингер встретил Отто Люммера, чьи фундаментальные исследования распределения энергии в спектре абсолютно черного тела помогли Максу Планку создать в дальнейшем теорию теплового излучения. Как преподаватель он выражается невероятно ясно, и то, что он говорит, — это всегда плод тщательного размышления. А кроме этого его супруга — просто прелесть. Эрих Регенер о Шрёдингере, своем коллеге в Штутгарте В Штутгарте Шрёдингер погрузился в чтение монографии Арнольда Зоммерфельда «Строение атома и спектры», ставшей классикой еще до того, как на издании высохла типографская краска. Шрёдингер заинтересовался этой темой и, как это уже было с общей теорией относительности, почти сразу опубликовал статью с уточнениями атомной модели Зоммерфельда. В Бреслау ученый задержался всего на несколько недель: еще в Штутгарте он получил приглашение возглавить кафедру теоретической физики Цюрихского университета. На этом посту он стал преемником Альберта Эйнштейна и Макса фон Лауэ — и был согласен на более скромное жалованье. Должность профессора в одном из самых престижных университетов Европы стала для Шрёдингера трамплином в его академической карьере. Кажется, сам воздух города был особым — то ли из-за горных альпийских ветров, то ли из-за дыхания Цюрихского озера. Атмосфера здесь стимулировала воображение не только революционеров, таких как Ленин или Троцкий, или писателей, таких как Джойс. Именно в Цюрихе была завершена теория относительности Эйнштейна, здесь работали фон Лауэ и Петер Дебай. Ранее Шрёдингер демонстрировал исключительную универсальность, исправляя и углубляя работы других ученых в большинстве дисциплин, вызывавших его интерес. Но этот широкий диапазон, казалось, подтверждал известную пословицу о двух зайцах: ни в одной из этих дисциплин сам Шрёдингер не создал ничего революционного. Комиссия в Цюрихе попросила венского физика Зоммерфельда охарактеризовать своего молодого коллегу, и тот отметил: «Первоклассный ум, очень твердый и критический». И чаша весов склонилась на сторону Шрёдингера — диапазон его возможностей, казалось, удовлетворил всех. Приемная комиссия особенно оценила исследования ученого о восприятии цвета, потому что его назначение позволяло «проводить конференции по биометрии, так любимой биологами». Ученый появился в Цюрихе в середине октября 1921 года, измученный трауром и многомесячными переездами. «Я был настолько истощен, — признавался он, — что у меня уже не оставалось никаких идей». Из-за усталости вновь дали о себе знать слабые легкие, и Шрёдингер, едва заняв новую должность в университете, вынужден был просить отпуск, чтобы отправиться на лечение и отдых на альпийский курорт Ароза. Он вернулся к работе через полгода, в ноябре 1922-го. За весь следующий год физик не опубликовал ни одной статьи. Учитывая, что ему было уже 36 лет — возраст, в котором творческая энергия многих ученых уже иссякает, — можно было посчитать, что научная карьера Шрёдингера завершена.
Музыка атомов
В твердых телах и жидкостях свобода атомов ограничена, поскольку их движения сдерживаются электромагнитным взаимодействием, создающим между ними прочную связь. Это взаимное влияние, соединяющее миллиарды ядер и электронов, вводит определенную сложность, отсутствующую в газе, молекулы которого часто можно рассматривать как практически независимые. Вещество твердых тел и жидкостей не только взаимодействует с окружающим миром, но и поддерживает тесные связи внутри самого себя. Изучение газов помогает понять диалог, который свет ведет с каждым атомом. Чтобы сделать этот диалог видимым, газ может быть нагрет или подвергнут воздействию электрического поля, — опыт, распространенный в лабораториях XIX века. Одним из наиболее популярных приборов в то время была газоразрядная лампа: стеклянная колба с двумя электродами, между которыми создается разность потенциалов. Внутри лампы находится газ — водород, гелий, криптон или пары ртути и натрия.
Разница между непрерывным спектром твердого тела и дискретным спектром газа.
В первом случае перед нами непрерывный диапазон цветов от красного до фиолетового. Во втором мы видим полосы изолированных цветов.
К: красный О: оранжевый Ж: желтый 3: зеленый Г: голубой Ф: фиолетовый
При превышении порогового напряжения лампа испускает интенсивное свечение. Если пропустить ее свет через призму, можно наблюдать последовательность тонких линий различных цветов, разделенных полосами черного цвета. Спектр газов, таким образом, гораздо проще спектра излучения твердых тел или жидкостей (непрерывного вдоль широкого диапазона частот). Если воспользоваться аналогией из предыдущей главы, это соответстует такому распределению, когда вес концентрируется вокруг нескольких дискретных значений (см. рисунок выше). Спектроскописты поняли, что разность потенциалов влечет испускание из катода (отрицательного электрода) потока электронов, которые пересекают лампу в направлении анода (положительного электрода). Если на своем пути эти электроны сталкиваются с молекулами газа, это порождает световое излучение, которое ученые проанализировали с помощью призмы. Каким образом работает прибор, было неизвестно. Единственное, чем располагали физики, — это набор светящихся линий, наблюдаемых в спектре каждого газа. Как показано на рисунке, для водорода при очень низком давлении видимы четыре линии, соответствующие цветам с длинами волн 410 нм (фиолетовый), 434 нм (голубой), 486 нм (зеленый) и 656 нм (красный). Почему именно эти длины волн? Почему для каждого элемента эти волны разные? Все это было тайной.
Экспериментальная установка для определения видимого спектра водорода. Г азоразрядная трубка содержит водород в газообразном состоянии и начинает светиться, как только разность потенциалов превышает заданный порог. Линза и прорезь собирают и направляют часть света, передаваемого на призму, которая раскладывает луч на цвета.
В 1885 году Иоганн Якоб Бальмер, швейцарский математик, зарабатывавший на жизнь преподаванием в женском институте Базеля, проанализировал эту проблему. Он не искал решение в лаборатории, а довольствовался изучением данных, опубликованных физиками-экспериментаторами. Внимание ученого привлекла головоломка с водородом. В 60 лет он оказался способен найти модель, которая бросала вызов воображению физиков. Она выглядела так:
где n является целым числом (3, 21, 102 и так далее) при n> 2 и где R — постоянная Ридберга со значением R = 1,097 х 107 м-1. При введении в это уравнение п = 3, 4, 5 и 6 λ водорода, кажется, появляется из ниоткуда: 656 нм, 486 нм, 434 нм и 410 нм.
Бальмер расшифровал математическую структуру, скрытую за вальсом спектральных линий, но ему не хватало понимания того, как энергия превращается в свет. Этот вопрос занимал всех спектроскопистов того времени, в том числе Ганса Мариуса Хансена, работавшего в Копенгагене. Он постарался получить как можно более узкие линии всех известных элементов, а объяснение их появления, считал Хансен, нужно было возложить на физиков-теоретиков. Именно поэтому ученый обратился к своему однокашнику, молодому датчанину Нильсу Бору со словами: «Почему бы вам не попытаться объяснить формулу Бальмера?» Бор задумался.
Этот вызов по своей природе очень отличался от того, с которым столкнулись Планк и Эйнштейн. Датчанин оказался лицом к лицу со структурой, состоящей из отдельных атомов: в газе атомы ведут себя словно хор, который поет одну ноту в унисон. Изучая их спектральные линии, можно понять, о чем поет каждый из них. А непрерывный обмен квантами между световым лучом и осцилляторами, образующими стенки печи, напоминает какофонию толпы, комментирующей концерт, выходя из зала.
Отправной точкой для Бора служила модель атома Резерфорда: массивное ядро, в котором концентрируется положительный электрический заряд, скомпенсировано отрицательным зарядом электронов на орбите. Аналогия с Солнечной системой была неизбежна: ядро играет роль Солнца, а электроны напоминают планеты. Да и сила гравитационного притяжения подобна силе электрического — обе слабеют с квадратом расстояния. Так же как Луна, которая не падает на Землю благодаря своей скорости, сохраняющей ее подвешенной в состоянии постоянного падения, электроны не могут себе позволить ни секунды отдыха. При этом они ведут себя не совсем так, как Луна, поскольку обладают электрическим зарядом. Согласно теории Максвелла электрические заряды излучают свет, и, следовательно, движение уменьшает их энергию. Эта постоянная энергетическая «кровопотеря» превращает орбиту электрона в самоубийственную спираль, направленную к ядру. Предсказания Максвелла приговорили Вселенную к мелодраматическому затуханию: все электроны в конечном итоге столкнулись бы с ядрами, уничтожившись в ослепительной вспышке спустя 10~8 с. Картина ошеломляла, но секунды шли, а атомы Вселенной сохраняли стабильность. Вытащив модель Резерфорда из шкафа, Бор рассмотрел ее для частных случаев. Результаты противоречили модели. Более того, они противоречили аксиомам евклидовой геометрии, да и вообще здравому смыслу.
Вот к каким предположениям пришел Бор.
— Электроны не имеют в своем распоряжении всего пространства вокруг. Они могут двигаться только по круговым орбитам, расположенным на определенном расстоянии от ядра. Это было предпосылкой для появления квантовой физики: фиксированный радиус орбиты не допускал непрерывного диапазона значений, однако электрон может перескакивать с одной орбиты на другую.
— Находясь на орбите, электрон не излучает свет и не тратит энергию. Это называется стационарным состоянием.
— Каждая орбита соответствует разной величине энергии, так что квантование пространства сопровождается аналогичным квантованием энергии. Последняя увеличивается с удалением от ядра.
— Электрон не приговорен вечно двигаться по своей орбите, а может перемещаться на другие. Например, он может перейти на орбиту с меньшим радиусом и, соответственно, меньшей энергией. При этом электрон сбрасывает избыточную энергию, испуская пакет излучения, или фотон. Также электрон может перейти на более длинную орбиту, но для этого ему необходим приток энергии извне. В этом случае он поглощает энергию фотона, испущенного другим электроном или при столкновении с другой частицей. В результате электрон переходит в возбужденное состояние, что крайне странно, поскольку, следуя едва ли не универсальному правилу природы, электрон стремится найти состояние с наименьшей энергией.
— Прыжки электронов с одной орбиты на другую происходят за счет фотонов, так что энергетический баланс соблюдается. Разность энергий между состоянием конечной орбиты (Εf) и начальной (Εi) выражается отношением Планка:
ΔΕ = Εf- Εi = h · v.
Постоянная Планка, после применения к свету, была использована в атоме. Согласно Бору, кванты печи вызывали непрерывные прыжки электронов вверх и вниз на протяжении всей энергетической лестницы атомов, составляющих стенки печи.
Квазинезависимые молекулы газа образуют лестницы с хорошо определимыми широкими ступенями, особенно на низших уровнях. И наоборот, в твердых телах и жидкостях интенсивное взаимодействие астрономического количества частиц создает мельчайшие энергетические ступени, ничтожные по высоте. Электроны имеют доступ к почти бесконечному диапазону переходов — и большим, и почти незаметным скачкам, — генерируя фотоны бесконечного количества частот, что и дает непрерывный спектр.
Почему классическая физика должна соглашаться с правилами Бора, которые казались несколько произвольными? С помощью простых расчетов ученый получил выражение для энергии каждой орбиты в своей модели в соответствии с целым числом, п, которое будет названо главным квантовым числом:
где m — масса электрона, е — его электрический заряд, K соответствует коэффициенту пропорциональности закона Кулона, a h — постоянной Планка.
Значение п характеризует орбиты разных радиусов. Отрицательный знак говорит, что электрон обладает меньшей энергией, когда он связан с атомом, чем когда он на свободе: энергия необходима, чтобы отделить его от ядра (рисунок 1). Чем меньше n, тем больше нужно энергии. Основное состояние соответствует n = 1. Таким образом формируется последовательность концентрических кругов (рисунок 2).
Вычитая значения энергии для двух различных радиусов и использовав выражение Планка, Бор получил формулу Бальмера. Кроме того, он вывел постоянную Ридберга из более фундаментальных констант, таких как масса и заряд электрона или скорость света. Формула Бора была полнее, чем предложенная Бальмером: видимый спектр водорода, с которым работал преподаватель из Базеля, состоял только из четырех переходов, от орбит n = 3, n = 4, n = 5 и n = 6к более низкой орбите, с n = 2, а Бор мог вычислить длину волны для каждого перехода между любыми орбитами. Спектроскописты уже определили, что линии за пределами видимого диапазона находятся в инфракрасном и ультрафиолетовом спектрах, и вычислили их частоту. Уравнение [1] помогало это сделать точнее.
РИС. 1
Модель Бора также примерно объясняла, что происходит в газоразрядной лампе, в которой через водород проходит электрический разряд. Электрон тока, генерируемого между электродами, сталкиваясь с молекулой газа, передает энергию одному из электронов молекулы, заставляя его двигаться на более высокую орбиту, где он на короткое время остается в возбужденном состоянии. Частота излучаемого фотона зависит от энергетической ступени: чем ступень выше, тем больше энергия фотона и, таким образом, больше его частота. Линии спектра Бальмера создают своего рода рентгенографию ступеней атома водорода (рисунок 2).
РИС. 2
Итогом работы Бора стала статья в трех частях «О строении атомов и молекул», опубликованная в 1913 году. Он пронзил квантовые потемки, оставив, впрочем, в стороне ряд вопросов. Как подчеркнул английский математик Джеймс Джинс, «существует только одна причина — не считая менее значительных — принять эту гипотезу: ее успех». Однако после того как первоначальная эйфория поутихла, появились теоретические сомнения, основанные на том, что Бор проигнорировал. Шрёдингер справедливо заметил: «...Β то время как так называемые стационарные состояния, в которых обычно находится атом (то есть периоды относительно неинтересные, когда ничего не происходит), были описаны с точностью часовщика, теория умолчала о переходных фазах, или «квантовых скачках», как их стали называть». Модель помещала атом под стробоскопический свет, где электроны двигались в темноте, но никогда не оказывались застигнуты в середине процесса. Бор первый признал эти ограничения: «Эта модель не претендует на то, чтобы быть истинным объяснением: я не говорю, почему излучение испускается». Сформулированные постулаты объясняли только поведение атомов с одним электроном, то есть водорода и положительных ионов, таких как Не+ (атом гелия с потерянным электроном), Li++ (атом лития, потерявший два электрона) и так далее. По мере того как методика анализа была усовершенствована и на смену призмам пришли дифракционные решетки, оказалось, что известные спектральные линии в реальности состояли из более мелких групп линий. Этот набор новых частот был частью тонкой структуры, которую модель Бора никак не объясняла. Существовали и другие подводные камни. Предполагалось, что электрон движется по орбите вокруг ядра со скоростью, близкой к 1% от скорости света, — достаточно, чтобы породить релятивистские эффекты, явно отсутствовавшие в модели. Кроме того, модель игнорировала и другой аспект: как для водителя дорога движется под колесами его автомобиля, так для электрона ядро — движущийся положительный заряд, производящий магнитное поле. В сущности, проблемы тонкой структуры и относительности были тесно связаны. Прежде чем менять парадигму, стоило вначале усовершенствовать ее. Этому себя посвятил Арнольд Зоммерфельд. Сам облик этой легендарной личности свидетельствовал о студенческой вспыльчивости: лоб Зоммерфельда был отмечен шрамом, полученным в фехтовальной дуэли. Он был убежден в том, что модель атома нуждается в дополнениях, которые раскрыли бы богатство линий тонкой структуры. Исследователь начал с предположения о том, что орбиты имеют эллиптическую форму, что позволило ему играть с направлениями. К этим новым атрибутам он присовокупил новые параметры, целые числа, связанные друг с другом, которые примкнули к числам, введенным Бальмером.
Схема модели Зоммерфельда, показывающая, что траектории электронов могут быть круглыми или эллиптическими. Квантовое число η означает размер орбиты;l — вид эллипса, m — его наклон.
Таким образом, n стало главным квантовым числом, дающим представление о размере орбиты. Небольшое n соответствовало электрону, расположенному близко к ядру, в то время как большое располагало его на периферии атома. Следующее квантовое число, l, определяло сплюснутость эллипса. Третье, m, соответствовало направлениям, в которых были сориентированы орбиты (см. рисунок). Несмотря на эту новую концепцию орбит, атом Зоммерфельда излучал такое же количество энергии, что и атом Бора. Во время квантовых переходов он генерировал фотоны с теми же частотами, которые образовывали те же спектральные линии, проецировавшиеся на экран. Пришло время обратиться к специальной теории относительности. Согласно теории Эйнштейна, тела изменяют массу (а следовательно, и энергию: Е = mc²), когда их скорость увеличивается или уменьшается. Этот эффект незаметен при рассмотрении ускорения, производимого макроскопическими телами в окружающей нас действительности, но в бурной жизни электронов он не может быть проигнорирован. Еще Кеплеру и Ньютону было известно, что для прохождения по эллиптическим орбитам тела должны постоянно менять свою скорость. Этих небольших изменений хватало, чтобы вызвать тонкие смещения в энергетических уровнях, что и объясняет расщепление линий. Модель Бора — Зоммерфельда с ее квантовыми скачками, генерирующими порции энергии, произвела эффект взрыва, отстоящего на световые годы от классической физики, но она породила почти столько же проблем, сколько решила. Можно ли вычислить, когда произойдет скачок электронов? В каком направлении будут излучаться фотоны? Да и в чем, собственно, состоит квантовый скачок? Электрон, словно иллюзионист, исчезает на одной орбите, чтобы мгновенно появиться на другой! Такое поведение настолько же сбивало с толку, как если бы Юпитер вдруг исчез и вновь появился на орбите Марса. Или электрон переходит на другую орбиту постепенно? У Шрёдингера подобный произвольный характер предположений вызывал настоящее отвращение, и он отказывался признать новую модель: «Говорят, что электрон, вращающийся вокруг атома, регулярно делает оборот на чем-то вроде орбиты, не испуская излучение. Никто не знает, почему он не излучает: согласно теории Максвелла — должен». Простой водород оказался в затруднительном положении, когда его вынули из изолированной ячейки и поместили в электрическое и магнитное поле. Когда в лаборатории старая газоразрядная лампа была подвергнута воздействию электрического поля, которое накладывалось на созданное с помощью электродов, известные линии снова умножились (эффект Штарка). То же самое происходило при приближении магнита (эффект Зеемана). Новые линии оставались плотно соединенными, когда поля были слабыми, но расходились с ростом их интенсивности. Для восстановления порядка в этих экспериментальных джунглях следовало вначале усугубить неясность. Следующий шаг был сделан французским аристократом, который посмотрел на электроны сквозь призму квантования. Если, несмотря то что свет — это волна, он может вести себя как частица (фотон) в атомной среде, ведут ли себя частицы, известные своими корпускулярными свойствами, как волны?
Де Бройль и вызов Шрёдингеру
Морис де Бройль, шестой герцог Брольи, воплотил мечту всех физиков-экспериментаторов: он создал идеальную лабораторию, абсолютно не стесняя себя в средствах. Принадлежность к аристократическому кругу позволила ему использовать для этого семейный особняк на улице Шатобриан, в самом центре Парижа. Герцог заполнил шкафы эпохи Людовика XV множеством электрических приборов, слуг сменил на целый батальон помощников и задумал комплексную программу исследований рентгеновского излучения и фотоэлектрического эффекта. Научная страсть де Бройля в конечном итоге заставила его младшего брата, Луи, свернуть с гуманитарной дорожки: тот забросил изучение средневековой истории ради карьеры физика. По словам Луи, Морис «признавал излучения, формируемые волнами и частицами, но не имел четкого представления об этом, не будучи теоретиком». За разъяснения взялся сам Луи, поскольку он глубоко изучил природу электромагнитного излучения на военной службе в годы Первой мировой войны, а затем работал радистом на Эйфелевой башне. Возможно, именно железная конструкция башни привела Мориса к открытию: «После глубоких размышлений в одиночестве в 1923 году меня внезапно осенило: открытие, сделанное в 1905 году Эйнштейном, должно было распространяться на все материальные частицы, в том числе на электроны». Другими словами, если свет может обладать корпускулярными свойствами, то электроны должны также проявлять свойства волны. Де Бройль предложил тогда, что такая частица, как электрон, блуждающий свободно в пространстве, будет связана с волной, длина которой X = h/p, где р — физическая величина, названная импульсом и определяемая в целом как произведение массы частицы на ее скорость (р =m • v). Получив диплом Французской академии наук, Морис де Бройль опубликовал в сентябре 1923 года две небольшие работы, содержавшие плоды его размышлений. К следующему году на основе этих тезисов герцог написал докторскую диссертацию. Его научный руководитель Поль Ланжевен, как и другие ученые, находился в некотором замешательстве — работа де Бройля казалась ему столь же изобретательной, сколь и маловероятной, поэтому он подкинул ее Эйнштейну, который тут же пришел в восторг. Он посчитал гипотезу де Бройля не только смелой, но и перспективной и заявил: «Я вижу здесь робкий луч света в одной из наиболее темных физических загадок». Сам де Бройль искал способы подтвердить свою догадку. Он заметил, что если электроны с длиной волны, связанной с размером, равным межатомному расстоянию твердого вещества (около 10-10м), будут спроецированы на стекло, то с другой стороны появится интерференционная картина. Интерференция — одно из явлений, наиболее ясно раскрывающих волновую природу любого объекта (подробнее см. статью «Интерференция волн», стр. 72-73). Американцы Клинтон Дэвиссон и Лестер Джермер осуществили подобный опыт в лаборатории Бэлла, а англичане Александр Рид и Джордж Томсон проделали то же самое в Абердинском университете. Обе группы ученых обнаружили, что какими бы ни были электроны, они вели себя как волны, проникая сквозь монокристалл никеля или тончайшую металлическую пластину. Если бы электроны вели себя как частицы, то, достигая атомарной решетки твердого тела, они бы отскочили от нее в разных направлениях, словно крошечные мячики. Но регистрируя рассеянные электроны, ученые получили широкую дисперсию волнового профиля (см. рисунок). Эксперименты позволили сделать безапелляционный вывод: электронам свойственно поведение, как у волны. Однако прорыв де Бройля, как это все чаще случалось с тем, что касалось квантов, больше ставил вопросов, чем давал ответов. Из чего состояли эти волны? Каким образом их интерпретировать? Как что-нибудь могло одновременно иметь две столь противоречивые природы, как волна и частица? Частицы концентрируются вокруг точек, а волны стремятся к тому, чтобы рассеиваться во все концы пространства, словно круги на водной глади от камня, брошенного в пруд. Уравнение де Бройля λ = h/p соединяло противоположные миры: λ является величиной волнообразного типа, р — корпускулярного. Материальные волны, в отличие от света, не связаны ни с каким полем, ни электрическим, ни магнитным, и могут проходить через вакуум при любой скорости, отличной от скорости света. Мяч, пересекая поле для гольфа на скорости 30 м/с, имеет длину волны λ = 1,9 х 10-34 м. Постоянная Планка h сказывается на повседневной жизни, но все же: как мяч может иметь столь незначительную и даже невообразимо малую длину волны?
Корпускулярные электроны
Волновые электроны
На рисунке показаны два возможных исхода опыта Дэвиссона и Джермера в соответствии с поведением электронов.
Если бы электроны были частицами, то они сосредоточились бы на детекторе, а если волнами — то были бы распределены по ряду детекторов, при этом количество частиц на каждом подчинялось бы волновой схеме. В итоге был получен второй результат. Де Бройль предположил, что эти волны направляют частицы, и хотя это заявление в целом соответствовало интуиции, оно не уточняло, какие отношения у волны с электроном. Например, известно, что частица, подвергаясь воздействию на нее (при столкновении с другой частицей, влиянии магнита и так далее), изменяет свою скорость и, следовательно, свою длину волны. Но каков механизм этого? Ни одно уравнение не позволяло рассчитать динамику волн, связанных с электронами. Все эти вопросы держали в напряжении голландского физика Петера Дебая, который в середине октября 1925 года бросил Шрёдингеру в Цюрихе: «Прямо сейчас вы не работаете ни над чем важным. Я не понимаю всей этой суеты вокруг де Бройля. Почитайте его. Посмотрим, выйдет ли интересный разговор». Шрёдингер изучил работы герцога и даже представил их 7 декабря на конференции. Однако присутствовавший в зале Дебай не был удовлетворен. Он напомнил Шрёдингеру: чтобы корректно говорить о волне, когда речь идет о вибрации гитарной струны, колебаниях давления молекул воздуха (звук) или электромагнитном излучении, необходимо волновое уравнение. И прежде чем покинуть конференц-зал, он потребовал: «Найдите это уравнение!»
Интерференция волны
Часто кажется, что свет движется по прямой линии. Появление теней или отражения в зеркале прекрасно иллюстрируют это интуитивное представление. Целый раздел физики — геометрическая оптика — посвящен изучению явлений, в которых лучи света смиренно склоняются перед властью прямых линий. И все же существует широкий спектр ситуаций, в которых свет ведет себя словно волна — звуковая волна или волна, распространяющаяся на водной поверхности. Когда фронт плоских волн наталкивается на пластину с щелью, возникает ряд полусферических волн. Если в пластине две щели, два ряда полусфер пересекаются, и пертурбации, порождаемые каждым новым фронтом, соприкасаются в каждой точке пространства. Как показано на рисунке 1, когда впадина одного фронта совпадает с гребнем другого, они нейтрализуются (деструктивная интерференция). И наоборот, если два гребня или две впадины совпадают, пертурбации усиливаются (конструктивная интерференция). Промежуточные состояния формируются на уровне других точек. В случае света это взаимопроникновение волн образует последовательность полос различной яркости, расположенных между темными полосами. Рисунок 2 показывает, как градация интенсивности выявляет силуэт волны.
РИС. 1
Подобное происходит, когда после броска двух камней две сферические волны накладываются и распространяются по поверхности пруда. При увеличении количества источников новых волн образуются более сложные конфигурации, например когда волна разбивается о сваи пристани. Каждая свая становится источником смешивающихся кругов. Получаемая модель зависит от расстояния между сваями. Для света результат зависит от расстояния между щелями. При изучении изображений, образующих интерференцию, структуры, ее вызвавшие, могут быть воспроизведены математически. Немецкий физик Макс фон Лауз, выдающийся ученик Планка, думал, что такой же эффект будет вызван прохождением электромагнитных волн с очень короткой длиной волны через сеть атомов, которые, словно опоры, аккуратно расставленные в трехмерном пространстве, составляют структуру твердого тела (рисунок 3).
РИС. 2
РИС.З
Кристаллическая решетка атомов. Каждый атом решетки выступает генератором новых волн.
В апреле 1912 года в университете Мюнхена ученые заставили разбиться фронт рентгеновского излучения (с λ порядка 10-11 м) об атомную кристаллическую решетку сульфата меди. Полученная картина интерференции соответствовала ожиданиям. В 1950-х годах структура миоглобина, гемоглобина или ДНК могла быть прочитана благодаря нескольким изображениям, полученным путем облучения кристаллических версий молекул пучком рентгеновских лучей.
Это словно повторяло ситуацию, когда Ганс Мариус Хансен попросил Бора подтвердить формулу Бальмера. Шрёдингер принял вызов Дебая и заложил тем самым первый камень будущего шедевра. Второй камень, однако, не имел отношения к науке. В Цюрихе лодка их брака с Аннемари дала течь. Находясь на грани кораблекрушения, они обнаружили, что их новый круг общения в Цюрихе, включавший дадаистов, склонных к анархии и антибуржуазному протесту, демонстрировал терпимость по отношению к внебрачным связям, которые иногда образуются внутри группы. По словам математика Германа Вейля, друга Эрвина и любовника Аннемари, Шрёдингер «совершает свои решающие работы в период позднего любовного изобилия». Вейль знал, о чем говорит, поскольку тесно сотрудничал с австрийским физиком, помогая ему преодолеть технические препятствия на пути к волновому уравнению. Его замечание дало повод ко множеству догадок о личности квантовой музы, но безуспешно. Дневник, который Шрёдингер вел в это время, был утерян, поэтому нам известно лишь то, что музой была «старая подружка из Вены» и что ученый провел с ней Рождество на том же горнолыжном курорте, где четырьмя годами ранее проходил курс лечения. Может быть, он вспомнил о Фелиси? Как бы там ни было, эта муза запустила период потрясающего научного творчества, когда Шрёдингер создал свои лучшие работы. Если ранее он публиковал в научных журналах в среднем 40 страниц в год, то в 1926 году его продуктивность возросла почти в семь раз, достигнув рекордных 265 страниц. Кроме того, он больше не довольствовался критикой чужих исследований и добавлением к ним математической глубины. Его работа приняла иной оборот. Его научная компетенция была признана, но сколько-нибудь революционных статей до сих пор Шрёдингер не написал, и все же он вошел в пантеон великих ученых XX века. Физик сформулировал свое волновое уравнение не на основе экспериментальных данных или солидной теоретической базы, а буквально на ощупь, благодаря готовности рискнуть и физической интуиции. После Рождества руководство в университете Цюриха поинтересовалось у ученого, с пользой ли он отдохнул в Арозе.
Жизнь Шрёдингера была отмечена многочисленными любовными приключениями. На фото вверху — австрийский физик (в центре) на берегу Цюрихского озера,около 1925 года. Внизу Шрёдингер (сидит справа) во время праздника в 1933 году.
Отвечая, Шрёдингер не упоминал о любовной стороне дела и ограничился признанием, что сделал некоторые расчеты. И на первой же конференции в новом году он обратился к аудитории со словами: «Мой коллега Дебай напомнил мне, что необходимо волновое уравнение. Ну вот, одно я нашел!»
Анатомия уравнения
Волновое уравнение Шрёдингера — это дифференциальное уравнение в частных производных:
где ψ — функция времени и трех пространственных координат (х, у, z), i = sqrt(-1) и h = h/2n. Чтобы понять это выражение, необходимы математические знания, выходящие за рамки этой книги. Поэтому мы ограничимся упрощенной версией уравнения — в одном измерении и опустив зависимость от времени:
Этого упрощения вполне достаточно, чтобы проиллюстрировать широкий спектр квантовых состояний. Но прежде чем его интерпретировать, представим каждый его компонент.
Когда говорят об уравнении, первое, что приходит на ум, — это алгебраическое выражение с одним или несколькими неизвестными:
x²+x=7
x²-y²+3=0
Уравнение обычно подвергает одну или несколько переменных величин — неизвестных чисел — серии действий, выраженных математическими операциями (сложение, вычитание, умножение, деление, возведение в степень и извлечение корня), которым удовлетворяют только решения.
До введения в XVI веке французом Франсуа Виетом современной символической записи с буквами, египетские и арабские математики выражали условия уравнения в словесной форме. Так, уравнение вида х²+х=3 формулировалось в виде вопроса: «Что за вещь, умноженная сама на себя и добавленная к себе, дает три в результате?» При словесном описании естественно желание придать «вещи» более широкое значение, увеличивая набор операций и множество математических объектов, к которым они применяются.
Следуя стремлению к абстрагированию, появившемуся в течение XIX века, в условия уравнений были добавлены не только числа, но и более сложные математические объекты, такие как функции или матрицы (последние, как мы увидим, сыграли первостепенную роль в истории квантовой механики). Сейчас нам нужно добавить в наш набор только функции и новую операцию — дифференцирование.
Простейшие функции зависят от одной переменной, у (х), и представлены кривыми (рисунок 3, на следующей странице).
Каждому значению х уравнения соответствует значение у, таким образом появляется множество точек с координатами (х, у), образующих кривую.
Функции с двумя переменными представлены в виде поверхности, размещенной в трехмерном пространстве; с тремя переменными и более — бросают вызов способности человеческого мозга их представить. Как и числа, функции могут подчиняться целому ряду математических условий, и те, которые этим условиям удовлетворяют, становятся решениями уравнения.
Дифференциальные уравнения практически ничем не отличаются от алгебраических, однако их решения разнообразнее (решениями могут быть функции), как и возможные действия (операции включают производные). Например:
РИС. 3
где k — константа.
Древние так сформулировали бы это уравнение: какая функция, будучи дифференцированной, равна константе k, помноженной на ту же функцию? Ответ: у(х) = у0еkx, где у0 = у(0) — дополнительное требование к уравнению.
Само обозначение у(х) подчеркивает зависимость у от х. Производная функции отражает динамику — то, как первая переменная величина меняется с помощью второй. На кривой рисунка 4 (стр. 79) у изменяется прогрессивно при условии, что значение х увеличивается. Чтобы выявить эту динамику изменения, можно использовать касательную, то есть прямую, которая касается кривой функции в одной точке. Наблюдая за углом, который образует касательная к оси абсцисс, мы получаем наглядное представление о значении производной функции. Горизонтальная касательная недвусмысленно говорит о нулевой производной (у не изменяется при изменении х), тогда как касательная, приближающаяся к оси ординат, соответствует производной, движущейся к бесконечности (и очень увеличивающейся с малейшим изменением х). В настоящем случае наклон всех касательных является малым, то есть они постепенно удаляются от абсцисс (рисунок 5).
РИС. 4
РИС. 5
РИС. 6
РИС. 7
РИС. 8
Если бы кривая представляла план участка, мы едва ли заметили бы неровности, шагая по нему Однако переменная величина у некоторых функций изменяется прерывисто (рисунок 6). Рисуя производные (касательные), мы замечаем, что среди них есть некоторое число вертикальных. По такой поверхности идти довольно сложно (рисунок 7). Касательные новой функции больше тяготеют к вертикальной оси и не приближаются к горизонтальной, динамика их изменений замедляется в вершинах и впадинах кривой (рисунок 8). В дифференциальные уравнения также могут быть введены вторичные производные, то есть производные производных. Информация, предоставленная этим повторным действием, говорит о динамике изменений касательной. Мы видим, что если взять какую-либо функцию, как на рисунке 9, затем ее вытянуть (рисунок 10) и, наконец, сжать (рисунок 11), переменная у принимает одинаковые значения в обоих случаях. Тем не менее на рисунке 10 она это делает таким образом, что касательная изменяется постепенно, при условии, что х растет (ее вторичная производная мала); в обратном случае, на рисунке 11, касательная сильно колеблется (ее вторая производная увеличена). Когда неизвестная функция зависит от одной переменной, как в случае с у(х), дифференциальное уравнение называется обычным. Когда она зависит от нескольких переменных, как f(x, у) или g(x, у, z), речь идет о дифференциальном уравнении с частичными производными, именно таким является уравнение Шрёдингера, которое зависит, главным образом, от трех пространственных и временной координат.
РИС. 9
РИС. 10
РИС. 11
Производные оказываются идеальным инструментом для описания законов природы. Расположение молекул воздуха изменяется совсем как температура какого-либо металла, атмосферное давление, количество радиоактивных ядер при распаде, плотность пластика, натяжение кожи барабана... Эти изменения могут быть внезапными или постепенными, прогрессирующими постоянно или происходящими мгновенно, циклическими или хаотичными. Цель ученого — определить правила этих изменений, локализовать их агентов и посредников, понять роль, которую они играют, и установить их скорость. Дифференциальные уравнения решают эту задачу математически четко и последовательно. Они часто описывают феномены, существование которых до сих пор было вне подозрений, начиная с физической наглядности или анализа ситуации. Иногда прибегают к помощи уравнений, чтобы составить новый сценарий и потом доказать, что еще не изученное явление, следуя собственным законам, развивается, исходя из изначально сформулированных предпосылок. Именно в этой роли производные используются как профессиональный инструмент химиков, инженеров, биологов и экономистов.
Язык производных
Смысл производных помогает расшифровать потаенный язык дифференциальных уравнений. Возьмем уже привычный пример:
с его решением: у(х) =у0еkx.
Возьмем самый простой случай:
Теперь, как можно увидеть из уравнения, касательная пропорциональна значению функции в каждой точке. Решение у(х) = ех представлено на рисунке.
Несколько значений функции:
у(0) = е0 = 1
у(1) = е1 = 2,72
у(2) = е2 = 7,39
у(3) = е3 = 20,09
На самом деле мы констатируем, что у быстро возрастает при увеличении значения х и что у заставляет свою касательную принять такую же динамику (рисунок напротив).
Начиная с XVII века математический механизм, изучавший свойства функций и их производных, стали использовать в физике для прогнозирования, и этот способ предсказания до сих пор был неизвестен в истории науки. Физические соображения выражались в уравнениях, и математика давала ответ на вопрос, где будет располагаться планета Марс через пять столетий или пуля через долю секунды. При попытке решить физические задачи использовались все грани анализа. Математики шли все дальше в джунгли дифференциальных уравнений, ведь там их ждали открытия. Одним из первых их любопытство пробудило волновое уравнение. С реальностью его сближала музыкальная теория, поскольку уравнение описывало колебания струны, натянутой между подставкой и колками. Уравнение описывало поведение струны после прикосновения. Применение законов Ньютона вело к следующему выражению с частичными производными:
где р и Т— две постоянные (линейная плотность струны и сила, на нее воздействующая) и где а — пространственная и временная функция, соответствующая вертикальному расстоянию, отделяющему каждую точку струны от горизонтальной плоскости (рисунок 12).
Это уравнение допускает бесконечное множество решений. Некоторые из них приемлемы для математиков, но теряют физический смысл и потому отбрасываются; другие не удовлетворяют некоторым дополнительным условиям, к примеру тому, что концы струны никогда не колеблются, что струна остается неподвижной до того момента, пока ее не коснутся или пока она не приобретет определенную форму Эти требования сокращают диапазон приемлемых решений, но также они квантифицируют значение частоты (v), с которой колеблется струна. При прикосновении к концам струны решениями являются волны, которые свободно распространяются по струне слева направо. Они могут это делать с любой частотой: тогда v является постоянной величиной. Однако при фиксации струны волны останавливаются между двумя краями, v прерывается и становится дискретной переменной. Диапазон ее значений кратен фундаментальной частоте, v1 звучание струны при этом может приближаться (через р и Т) к чистой музыкальной ноте (рисунок 13).
РИС. 12
РИС. 13
Эти колебания называются стоячими волнами: в каждой их точке колебания происходят с той же частотой, что и у встречных волн. Волны свободно распространяются вдоль струны влево или вправо, затем они сталкиваются с закрепленными концами и возвращаются обратно. Две волны встречаются и расходятся в разные стороны, при этом их наложение друг на друга образует стоячую волну. Струна оказывается разделенной на равные сегменты точками соприкосновения — узлами стоячей волны, при этом оставшаяся часть струны колеблется. Узлы первой, или фундаментальной частоты (ее также называют гармоникой) находятся на концах струны, для второй гармоники добавляется один узел, в середине струны, для третьей — два, делящие струну на трети, и так далее (см. рисунок).
Изображение струны
Чтобы лучше понять волновое уравнение, можно проиллюстрировать колебания струны с помощью серии фотографий. На каждой из них время останавливается, позволяя уловить профиль волны, наподобие изображенного на рисунке 1.
РИС. 1
Расположение струны в момент tr
Затем мы засекаем промежуток времени (ось абсцисс) и вновь отпускаем струну, концентрируя внимание на ее точке и наблюдая изменение ее положения. Изобразим это изменение, учитывая, что струна колеблется сверху вниз. Если мы расположим эти фотографии рядом, то заметим, что последовательность точек образует вторую волну (рисунок 2). Также изменение расположения точки в зависимости от времени может быть представлено таким образом, как на рисунке 3.
РИС. 2
Последовательность рисунков отображает изменение высоты точки струны (зафиксированное положение в момент времени x1).
РИС. 3
Изменение положения струны, колеблющейся снизу вверх, в точке х1
Уравнение
говорит нам, что скорость, с которой изменяется касательная к струне, изображенная на графике ее пространственного изменения
пропорциональна скорости, с которой меняется касательная на графике временного изменения
Если, например, коэффициент Т/р больше 1, волна будет более сжатой на временной оси, чем на пространственной (рисунок 4).
РИС. 4
Если Т/р меньше 1, отношение обратное; если Т = р, касательная изменяется одинаково в пространстве и во времени.
Иными словами, мы видим перед собой классическое описание работы струнного музыкального инструмента, сделанное с помощью постоянной функции, но со своими переменными, частотой, квантами. Между квантованием энергии уравнения Бора (1) для атомов и уравнением частоты гармоник нет существенного различия. Подчеркнем, что эта мощная аналогия до сих пор не привлекала внимания физиков, однако Шрёдингер не прошел мимо. Его уравнение предполагает бесконечность чисто математических решений, но если ввести дополнительные условия, то один из его параметров — энергия — становится квантованным.
фундаментальная или первая гармоника
вторая гармоника
третья гармоника
Первая статья Шрёдингера, посвященная структуре атома, называлась«Квантование как задача о собственных значениях» (1926). Под термином «собственное значение» имеется в виду параметр, который является квантованным после наложения на дифференциальное уравнение определенных условий. В этой статье Шрёдингер определенно ссылается на колебания струны. Целые числа, возникающие при рассмотрении атома водорода, получаются «естественным образом, сами по себе, подобно тому как сама по себе получается целочисленность числа узлов при рассмотрении колеблющейся струны. Это новое представление может быть обобщено, и я думаю, что оно тесно связано с истинной природой квантования». Пришло время вернуться к выражению:
где m — масса электрона и Е — энергия системы. Функция ψ связана с информацией относительно расположения электрона таким способом, который пока еще нельзя объяснить. Функция V(x) представляет любое воздействие Вселенной на электрон. Когда она равна нулю, предполагают, что электрон является свободным, но как только электрон приближается к ядру и оказывается связанным с атомом, функция V(x) перестает быть равной нулю и подчиняется электрическому присутствию протонов:
где Z — число протонов, идентифицирующее атом. Мы располагаем ядро в начале координат (х = 0) таким образом, что переменная х также означает расстояние, отделяющее нас от ядра. Введем это выражение в уравнение Шрёдингера:
Мы можем рассматривать V(x) как произведение постоянной (соединяющей Кc, Z и е²) и функции расположения 1/х:
где функция 1/х принимает вид как на рисунке 14 (стр. 89), на котором мы видим, что функция 1/х стремится к бесконечности при х = 0 и убывает до исчезновения, когда х становится очень большим числом.
Свободный электрон
Когда функция У исчезает, электрон становится свободным, и уравнение Шрёдингера сокращается до своей самой простой формы:
Это очень похоже на уже рассмотренное первое дифференциальное уравнение:
Из этого мы делаем вывод, что касательная у пропорциональна значению функции в каждой точке. Именно сейчас проявляется динамика изменения касательной функции ψ. Отметим, что при повышенном значении для Е (электрон с высокой энергией) вторая производная будет больше постоянной ψ. Мы окажемся в ситуации сжатой волны с малой длиной (см. рисунок 11, стр. 80). Если мы возьмем выражение де Бройля λ = h/p, то малая λ соответствует большой р (то есть повышенной скорости р = mv). И наоборот, малая Е приводит нас к случаю вытянутой волны, с большой длиной и, таким образом, низкой скоростью: электрон с низкой энергией. В уравнении (1) электрон, не испытывая никакого влияния окружающей среды, находится в состоянии, похожем на состояние свободной струны, и его частота постоянна. К тому же форма ψ очень похожа на волну, распространяющуюся в свободном пространстве. Энергия частицы также не является квантованной и предполагает бесконечный спектр значений.
График кривой показывает, что V оказывается принципиальным в уравнении, когда значение х мало (когда электрон блуждает около ядра). Если мы разделим число на другое, намного меньшее, чем единица, то получим в качестве результата большое число. Чем сильнее уменьшается знаменатель, тем больше становится коэффициент. Например:
И наоборот, если х увеличивается, коэффициент
уменьшается, пока не станет незначительным. Эти две тенденции показывают, что электрон подвержен воздействию притяжения, когда он находится поблизости от ядра (где V сильно увеличивается). И его присутствие едва заметно, когда он очень далеко (V уменьшается, пока не исчезнет). В последнем случае, когда V стремится к нулю, уравнение сокращается до того вида, который соответствует свободному электрону (рисунок 15).
Мы предполагаем, что в любой момент ядро находится в состоянии покоя (или что можно не обращать внимания на его скорость, как и на скорость электронов).
РИС. 14
РИС. 15
Действие V, связывающее электроны с ядром, равносильно тому, чтобы зафиксировать струну на подставке скрипки. Так как функция а(х,t) должна быть равна нулю на концах или соответствовать форме струны до касания, существуют дополнительные условия к ψ. Она должна быть постоянной и ее значение должно стремиться к нулю при нахождении далеко от ядра. Настоящее значение этих условий будет раскрыто в следующей главе. В тот момент, когда условия будут выполнены, энергия системы будет квантована согласно формуле Бора. Функции решения ψ ведут себя так же, как стоячие волны, создавая в атоме стабильную ситуацию. Главная загадка уравнения Шрёдингера (которая будет решена в следующей главе) — какая физическая величина представляет знаменитую функцию ψ? Этот вопрос вызвал бурные споры с того самого момента, когда он был поставлен.
Наглядность функции Ψ
Чтобы описать реальный атом водорода, необходимо ввести три координаты:
В трех измерениях анализ уравнения усложняется. Очевидно, чтобы визуализировать решения, необходимы четыре оси: одна — для ψ и три другие — для х, у и z. И если мы введем время t, то нам понадобится пятая ось. Но несмотря на эти сложности, можно сделать несколько замечаний относительно вида искомого решения. Например, проясняя (1), мы замечаем, что сумма динамики изменения касательных ψ
которую мы назовем Rизменения, равна:
Переобозначим постоянные для большей ясности:
Когда мы удаляемся от начала координат (х, у и z, большие), SQRT(x² + у² + z²) приобретает намного большее значение, чем b, и коэффициент уменьшается до тех пор, пока не исчезнет. Таким образом, из уравнения следует:
Rизменения =3Ψ.
Принимая во внимание, что одно из условий, поставленных функции ψ, было таким, чтобы она стремилась к нулю при удалении от ядра, произведение постоянной а через ψ в равной степени будет тяготеть к нулю. Тогда последнее уравнение показывает, что сумма динамики изменения трех касательных стремится к нулю с ростом расстояния: Rизменения -> О· Кажется разумным предположить, что они изменятся по отдельности. Если бы это было так, у них была бы возможность соединиться, чтобы исчезнуть при сложении. Вдалеке от протонов ψ исчезает, и касательные принимают горизонтальное положение. И наоборот, когда электрон находится рядом с ядром, где значения переменных х, у и z, малы, сумма динамики изменения касательных будет выше. Это поведение обязано тому факту, что при Rизменения выражение
стремительно растет и превышает постоянную а. На кривой функции ψ мы увидим взлеты и падения около начала координат. Затем функция успокаивается при условии, что она удаляется (см. рисунок).
Для изучения вида функции ψ она может быть разделена на три зоны. B A Rизменения увеличивается, и ψ представляет несколько касательных. В С Rизменения стремится к нулю как касательная ψ.
Научные дискуссии казались бесконечными, и Макс Борн, который предложил наиболее удовлетворительный ответ, должен был ждать около 30 лет, чтобы получить за него Нобелевскую премию. Шрёдингер сам не мог принять свою интерпретацию. Он всегда думал о том, что ψ представляла распределение заряда электрона, как если бы частица рассыпалась в пространстве. Словно разлитая вода, накапливающаяся в углублениях и избегающая возвышенностей, электрический заряд концентрируется больше в одних местах, чем в других. Волновая функция рисует карту распределения плотностей. Шрёдингер стремился к классической физике, но научная честность заставляла его заметить, что его традиционное видение теряет силу во владениях атома. Выход нашелся в отказе от примитивного значения частицы: «Материя представляет собой волны и только волны». Вселенная состояла из колебаний, которые часто сосредотачивались в определенных зонах пространства, создавая иллюзию частиц с макроскопической точки зрения. Математики могут играть с волновыми конструктивными и деструктивными интерференциями, суммируя их и заставляя принимать почти все формы, какие только возможно, особенно форму сгустка или, говоря техническим языком, форму волнового пакета (см. рисунок). Проблема состоит в том, что практически невозможно поддерживать связность структуры по мере ее перемещения, и все заканчивается тем, что она распадается, словно айсберг, подходя к экватору. Волны стремятся к тому, чтобы рассеяться при малейшем столкновении, а пакет раскрывается, и поведение частиц, когда они сцепляются с окружающей средой, сразу же меняется. К концу четвертого дня творения электрон, заключенный внутри атома, мог бы рассеяться по четырем концам Солнечной системы. Перед наукой встала та же проблема, что и перед де Бройлем: необходимо было заново гармонизировать два противоположных объекта — волну и частицу.
Волновые помехи распространяются в некоторых пределах подобно тому, как это сделала бы частица.
Одним из важных последствий уравнения Шрёдингера является то, что оно объясняет квантовые феномены, такие как скачки, с помощью определенных функций определенных переменных, а также дифференциальных уравнений, открытых Ньютоном. Шрёдингер представлял электрон как электрически заряженное облако, обволакивающее атом, при этом сам электрон преобразовывался в пространственно-распределенную электромагнитную волну, движущуюся непрерывно, согласно приказам ψ, и без всякого квантового скачка: «Не требует особых разъяснений то обстоятельство, что представление, по которому при квантовом переходе энергия преобразуется из одной колебательной формы в другую, значительно более удовлетворительно, чем представление о перескакивающем электроне». Когда атом поглощал или излучал свет, ψ изменялась совсем как струна, тронутая гитаристом. Серия различных энергетических состояний напоминала о непрерывном ряде музыкальных нот. Шрёдингер поддерживал эту точку зрения до конца жизни. Он сформулировал первое основное дифференциальное уравнение квантовой механики; первое, определяющее самодостаточное условие, не будучи классической подпоркой; первое, которое не было пародией на прошлую и современную физику. Его уравнение — то же, что ньютоновское F=mx а для классической механики. Оно предопределило развитие квантовых систем и само содержало зачатки этого развития. Функция ψ, введенная Шрёдингером, стала для физиков необходимой опорой, которой они пользовались в то время, когда квантовая наука подрывала основы, но пока еще не представляла собой целостной концепции. Шрёдингер нарисовал карту территории и создал путеводитель, позволяющий ее изучать без риска потеряться. Все это наполнило энтузиазмом многих молодых исследователей. Один из них, физик Ганс Бете, очень высоко оценил значение уравнения Шрёдингера, сказав о нем: «...любая проблема, к которой подходят с новыми инструментами квантовой механики, могла быть успешно решена, и сотни проблем, накопленные в течение десятков лет экспериментов, лежали на расстоянии вытянутой руки в ожидании, что кто-то за них возьмется». Уравнение Шрёдингера открывало многочисленные феномены, о существовании которых до сих пор никто не подозревал, такие как туннельный эффект, сверхпроводники или сверхтекучесть. Как отметил британский физик Поль Дирак, шесть статей, отправленные Шрёдингером в журнал Annalen der Physik («Анналы физики») в 1926 году, «содержат в себе большую часть физики и всю химию» и теряют силу с появлением релятивистских эффектов или магнетизма (который также является релятивистским эффектом).
Выслеживая Ψ
Принимая во внимание, что визуализировать ψ из-за ее четырехмерности нельзя, мы предпримем небольшое предприятие, чтобы узнать, не существует ли какого-то наглядного представления решений. Чтобы указать положение какой-либо точки пространства Р, иногда лучше использовать единственное расстояние (луч r) и два угла (Θ и φ), чем длины трех перпендикулярных осей (см. рисунок).
Положение точки Р может быть обозначено тремя последовательными координатами (три расстояния вдоль трех перпендикулярных осей: х, у, z) или длиной ориентированного луча длины г и углами Θ и φ.
Увеличивая или уменьшая г и изменяя его направление углами θ и ф, можно указать положение любой точки пространства с такой же точностью, как и с помощью обычных координат. Эти две системы эквивалентны друг другу, ψ может быть выражена посредством как х, у и z, так и r, Θ и φ:
ψ(x, у, z) = ψ(r, Θ, φ).
Зависимость от расстояния может быть отделена от угловой функции следующим образом:
ψ(r, Θ,φ) = R(r) • (Θ,φ).
R (r) описывает, как ψ изменяется по определенному направлению, заданному углами. На следующем рисунке представлена функция для нескольких значений энергии системы (Е1, Е2 и Е3 формулы Бора).
Как и с колеблющейся струной, число узлов увеличивается с ростом энергии. На основном уровне узлов нет, а затем их количество начинает расти. Эти решения говорят о сферической симметрии, применимой и к атому: при вращении вокруг себя углы не меняются, как если бы мы рассматривали сферу.
Шрёдингер искал уравнение, вписывающееся в рамки теории Эйнштейна, — и он нашел одно такое, однако его решения не соответствовали экспериментальным результатам. Ученый не учел одно из свойств электронов (они ведут себя как крошечные магниты), о существовании которого в то время было еще неизвестно. Релятивистскую версию уравнения в 1928 году сформулировал Поль Дирак. Почти единогласно публикация уравнения была признана хорошей новостью. Планк поведал Шрёдингеру о том, что прочитал его статьи «с тем же напряжением, с каким любопытный ребенок выслушивает развязку загадки, над которой он долго мучился». Эйнштейн, как всегда, высказался афористично: «Замысел Вашей работы свидетельствует о подлинной гениальности». Но до нового понимания атома оставалось еще 14 месяцев, пока Вернер Гейзенберг не нашел выход из лабиринта, в котором плутали физики. В научных кругах Гёттингена и Копенгагена Гейзенберг имел репутацию настоящего enfant terrible. За четыре месяца до появления волнового уравнения он начал отвергать любой подход к квантовой области, основанный на концепциях, вытекающих из повседневного опыта: нельзя сравнить электроны с мячами или волнами на поверхности пруда, хоть такое сравнение и просится. Столкновение между Гейзенбергом — сторонником дискретности и корпускулярное™ — и Шрёдингером — знаменосцем непрерывности и волнообразности — было неизбежным и стимулировало развитие науки. Язык дифференциальных уравнений был для физиков привычнее, чем рациональный матричный анализ, которым умело пользовался Гейзенберг и радикальная абстрагированность которого вызывала у них головокружение. Но несмотря ни на что Гейзенберг оставил за Шрёдингером право ответить на вопрос, что же представляла собой функция ψ. Студенты-физики в Цюрихе обычно сочиняли насмешливые стишки о своих профессорах. Одно из них звучало так:
Шрёдингер может с греческой пси Считать день и ночь — Боже, спаси. Но он и сам, как видно, не знает, Что эта пси у него означает.
Греческая буква «пси» была началом греческого же корня psykho («душа»). Но что означала эта буква? И здесь в борьбе точек зрения Шрёдингера и Гейзенберга нас ждет неожиданный поворот.
Глава 3 Поиски смысла
Зарождающаяся квантовая механика поставила перед классическими теориями множество ограничений, необходимых для воспроизводства результатов экспериментов. Уравнение Шрёдингера положило начало второму акту квантовой трагедии. Ученый долго не мог отказаться от интерпретации своего открытия в духе классической физики, но этот решающий шаг сделали Гейзенберг, Борн и Бор. С января по июнь 1926 года Шрёдингер, охваченный творческой лихорадкой, написал полдюжины статей, открывая в квантовой механике неожиданные горизонты. Свидетель этой работы вспоминает, что Шрёдингер воткнул в уши затычки, чтобы не отвлекаться на шум и не терять концентрации. В общем, это был настоящий марафон, отмеченный локализованной (но основательной) помощью Германа Вейля. Как заметил Зоммерфельд, по счастливому стечению обстоятельств Шрёдингер подружился в Цюрихе с этим несравненным математиком, и с тех пор они встречались каждый вторник, чтобы обсуждать свои достижения. Волновая механика порождала новые ожидания внутри научного сообщества. Как в любом хорошем романе, любопытство читателей разгоралось с каждой новой публикацией. Некоторые читали появляющиеся труды с благоговением, другие исписывали поля каждой страницы знаками вопроса, замечаниями и возражениями. Наконец, Шрёдингер решил отложить перо, чтобы отправиться на ряд научных конференций и обсудить там с коллегами новые идеи. Во время этого путешествия ученый снова посетил места, где началась его университетская карьера, — Штутгарт, Йену и, конечно же, Берлин — столицу немецкой физики. Именно там он встретил Планка, который, словно престарелый Зевс, подумывал о предстоящей пенсии и присматривал себе достойного преемника. Иногда Планк приходил к Шрёдингеру, чтобы рассказать ему о разных новостях и других ученых — ведь «физика не сводится к исследованию атома, как и наука не сводится к физике, как и жизнь не сводится к одной физике». Следуя этому правилу, Шрёдингер решил на время отвлечься от высшей математики и начал давать частные уроки сестрам Юнгер — Ите и Розите. Эти 14-летние близняшки, знакомые родственников Аннемари, отставали по алгебре. Ита нуждалась в помощи больше своей сестры, поэтому Шрёдингер сконцентрировал внимание на ней. Однако обучение столкнулось с некоторыми сложностями. Нет, дело не в уроках — занятия пошли девушке на пользу: Ита блестяще сдала экзамены. Проблема лежала за пределами педагогики. Если вначале Шрёдингеру хватало предлогов для общения со своей юной подопечной, то в дальнейшем ему пришлось эти предлоги выдумывать, с чем он, надо сказать, гениально справлялся. Он начал оказывать Ите знаки внимания — сначала осторожно, затем открыто, пока она, наконец, не задула 17 свечей на именинном торте. Однако это небольшое отвлечение не стало преградой для профессиональных обязанностей Шрёдингера. В этом же году, 18 декабря 1926 года, он отправился из Гавра в США, где его ждало утомительное турне: 50 конференций за три месяца. Шрёдингер был крайне раздражен во время всего путешествия. Готовясь к поездке в Нью-Йорк, он не находил для Статуи Свободы других эпитетов, кроме как «гротескная», «полукомичная», «полууродливая». Аннемари тоже слегка нервничала: она опасалась преступников, боялась шума и дорожной пыли. Нарочитое дружелюбие торговцев в магазинах тоже казалось чужим и непривычным. Шрёдингер был не прочь выпить хорошего вина в теплой компании, но в Америке в это время действовал сухой закон. Ученый проехал из конца в конец большую шахматную доску Соединенных Штатов: Нью-Йорк, Мэриленд, Массачусетс, Иллинойс, Айова, Миннесота, Юта и Калифорния. Он не только говорил о волновой механике (иногда уже через силу), но даже нашел время посетить знаменитые туристические места. Побывал он в индейской резервации, Большом Каньоне в Колорадо, на холмах Голливуда. Проезжая через Солт-Лейк-Сити, ученый обратил внимание на традицию многоженства у мормонов. А 10 апреля он отмечал возвращение в Цюрих, откупоривая бутылку хорошего вина. В следующем месяце в Берлине приступили к поискам преемника Планка на кафедре теоретической физики. Некоторые кандидаты были отклонены по различным причинам: Эйнштейн, например, уже занимал престижный пост в Берлине; талантливый Гейзенберг был слишком молод. Хорошей кандидатурой был Зоммерфельд, но он отказался покидать Мюнхен. Когда все эти кандидатуры были отклонены, выбор заключался между двумя кандидатами — Шрёдингером и Максом Борном. Шрёдингер имел определенные преимущества: если Борн отличался довольно сдержанным и даже скрытным характером, то наш венец явно был более яркой личностью. Кроме того, научного веса ему добавляли последние работы по волновой механике. Да и сам Планк был убежден, что Шрёдингер выведет физику из тупика. Словом, выбор был сделан.Когда он получил это достойное предложение из Берлина, его первой реакцией было написать им: «Я глубоко огорчен, но я не могу вместить всего себя в часы лекций. У меня нет возможности работать по утрам». Аннемари Бертель о реакции Шрёдингера на предложение из университета Берлина
Услышав о новостях из Берлина, студенты Цюриха организовали факельное шествие. Они подошли к дому Шрёдингера и умоляли его не оставлять их. Этот жест, несомненно, был приятен ученому, но остановить его не мог, потому что решение уже было принято. Однако едва Шрёдингер распаковал чемоданы в столице Пруссии летом 1927 года, как у него возникло предчувствие, что в Берлине он задержится не так уж и надолго. Впервые открывая окна своей берлинской квартиры в богатом квартале Грюнвальд и вдыхая ароматы бука и сосны, Шрёдингер мог еще раз подумать о своем молниеносном переезде. Прошло семь лет с тех пор, как он покинул Вену ради должности ассистента в маленьком немецком университете. И за эти годы он взобрался на вершину физики. В берлинских аудиториях Эрвин впечатлял студентов своим даром оратора, но почти не уделял им внимания помимо лекций. При всех своих талантах Шрёдингер был очень плохим наставником, особенно в сравнении с Бором, Борном или Зоммерфельдом. Как и Эйнштейн, наш герой был волком-одиночкой. Производила на окружающих впечатление и его манера одеваться — дерзкая, даже немного развязная, она в действительности скрывала консервативный ум ученого. В феврале 1929 года он стал членом Прусской академии наук. В 42 года он был самым молодым преподавателем университета. В Берлине Шрёдингер подружился с Эйнштейном. Братья по оружию на баррикадах квантовой войны, которая вскоре будет объявлена, они чувствовали еще и творческую солидарность перед лицом берлинского формализма. Чтобы компенсировать неустойчивость своего брака, который переживал новый трудный период, Эрвин и Аннемари решили вести насыщенную социальную жизнь. Каждую неделю они организовывали у себя дома «вечер венских колбасок». Аннемари оказывала меценатскую помощь самым разным фестивалям, вроде того бала-маскарада, который превратил их квартиру в «Отель ψ ψ*». Город, отличавшийся очень богатой культурой, стал постоянным источником искушения для Шрёдингера и напоминал ему о золотой венской молодости, правда, на смену новаторским пьесам Франца Грильпарцера пришли драмы Бертольта Брехта. У Шрёдингера всегда был выбор между тем, куда пойти: в театр на Марлен Дитрих или Рут Берлау, послушать Лотте Ленья или просто посидеть в кабаре. Увы, на улицах Берлина пышно цвели не только цветы искусства. Эта почва оказалась очень благодатной для терний национал-социализма, который вскоре пустил корни и в садах преподавателей. Несмотря на то что Шрёдингер не был замечен в политической активности и не участвовал в общественных организациях, он ненавидел нацистов. День 1 апреля 1933 года был объявлен национальным днем бойкота еврейских предпринимателей. Витрины были завешаны устрашающими плакатами, в которых немецким патриотам не советовали делать покупки, а для нечувствительных к пропаганде или даже противостоящих этим советам людей возле дверей всех еврейских магазинчиков, медицинских кабинетов и адвокатских бюро стояли бравые малые в коричневых рубашках. Возмущенный Шрё- дингер даже избил кого-то, кто слишком активно выступал в поддержку этих акций устрашения. Один из его студентов, водружая свастику, которая была обязательной, вытащил преподавателя из этой неразберихи и помог ему избежать допроса с пристрастием. Быстрое развитие национал-социализма привело к тому, что чистка евреев началась не только на улицах, но и в общественных учреждениях. Через неделю после бойкота был принят закон, предусматривающий исключение из администрации любого служащего с сомнительными взглядами или неспособного доказать чистоту своего происхождения. Реакция немецкого университетского сообщества была очень неоднозначной, однако количество возражений можно было посчитать по пальцам. Многие решили спасаться бегством, они оставили свои места, на которые сразу же были назначены другие лица, пусть даже не обладавшие должным профессионализмом, но с достаточной чистотой арийской крови. Возможность повысить социальный статус не упустили молодые карьеристы и старые ученые с потускневшей славой. Когда у Шрёдингера спросили, почему он покинул Германию, тот ответил: «Я терпеть не могу, когда меня донимают политикой», — ответ стандартный и мало что говорящий. Но становится понятно, что за ним скрывается, если знать, что очень многие профессора в этой же ситуации предпочли терпеть это донимательство. Ни Эрвин, ни Аннемари не были евреями, так что режим им не угрожал. Но все-таки в свои 46 лет Шрёдингер, занимавший один из самых видных университетских постов в мире — трон Берлина, по собственному желанию променял его на неизвестность ссылки. Однако, несмотря на все эти чрезвычайные политические и личные обстоятельства, жизнь шла своим чередом. Отношения Шрёдингера с молодой Итой привели к ее беременности. Ученый уговаривал подругу сохранить ребенка, однако разводиться не собирался. Ита решила избавиться от плода, и их со Шрёдингером отношения потеряли былую теплоту. Однако ученый обратился за утешением к Хильдегунде, жене его давнего друга, австрийского физика Артура Марха. В течение нескольких месяцев Хильда отвергала все его знаки внимания, но в конце концов и она не устояла перед обаянием Шрёдингера. Летом 1933 года несколько ученых, решивших покинуть Германию, договорились встретиться. Они хотели последний раз насладиться солнцем, горными пейзажами севера Италии и общением друг с другом. Вейль, жена которого была еврейкой, отправлялся в Институт перспективных исследований Принстона. Еврея Борна ждал Кэмбридж. А Шрёдингер нашел временное пристанище в колледже св. Магдалины в Оксфорде. Друзья выбрали самые красивые и самые уединенные места, чтобы надолго оставить в памяти теплые воспоминания и чтобы ничего не испортило момент. В какой-то момент Эрвин и Хильда покинули компанию и отправились на велосипедную прогулку в окрестности озера Гарда. Здесь все и произошло. Вскоре выяснилось, что Хильда забеременела. Отчасти поэтому одним из условий, которое Шрёдингер поставил перед английской стороной,— это пост ассистента для Артура Марха. Аннемари, Эрвин и Хильда прибыли в Оксфорд 4 ноября. Через пять дней в скромном отеле, где они остановились, раздался телефонный звонок. Редакция The Times сообщила Аннемари новость, которая только готовилась к публикации: ее муж разделил с Полем Дираком Нобелевскую премию по физике. С возвращением Шрёдингера из Стокгольма ситуация стала крайне деликатной: и Шрёдингер, и Хильда не скрывали своих отношений от Аннемари и Артура. Аннемари стала второй матерью девочке, которая родилась 30 мая 1934 года и была названа Рут Джорджия Эрика Марх. Только в возрасте 17 лет Рут узнала, кто был ее биологическим отцом. Однажды на пляже Эрвин сказал ей: «Посмотри на свои ноги. Они точь- в-точь как мои». Шрёдингер почти не прилагал усилий, чтобы уберечь свою репутацию. Скоро в Оксфорде пошли слухи о том, что у него две жены, а ученый и без этих неприятностей чувствовал себя в колледже св. Магдалины не очень уютно. Шрёдингеру не хватало немецкой университетской системы, и он каждый день помнил, что его пост был создан специально для него, для беженца. Такая «жизнь благодаря великодушию других» его подавляла.
(Мужчины) чувствовали смущение в присутствии женщин. <...> Жизнь в колледжах была организована, как в монастыре. Хороший стол, хорошие напитки предназначались для мужчин. Если какой-либо коллега был женат, его жену не принимали. Впечатление Шрёдингера об обстановке в колледже св. Магдалины в Оксфорде
Часто бывало, что ученому «становилось не по себе, когда его сосед по столу, которому он с присущей ему откровенностью высказывал свое мнение, принимал важный вид, почти как какой-то бывший премьер-министр». Тоска по дому все не проходила, и в это время давний университетский друг Шрёдингера Ганс Тирринг предложил ему место профессора в университете Граца — австрийском городе, расположенном на юго- востоке страны. Шрёдингер почувствовал, что части большого пазла его жизни, который разлетелся после побега из Берлина, наконец, становятся на место. Отношения Артура и Хильды исчерпали себя. По возвращении на родину Шрёдингер найдет себе новую работу, вернет родной язык, свою дочь Рут, а также обретет новую любовь — Ханси Бауэр, дочь генерального директора страхового общества, в котором Аннемари работала после их помолвки в Вене. Богатый внутренний мир ученого мешал ему ясно видеть происходящее вокруг него. Шрёдингер даже не подозревал, что его страна вскоре будет присоединена к Третьему рейху... И что нацисты не забыли его дерзкого отъезда из Берлина. Через много лет он расценит это решение вернуться домой как «беспрецедентную глупость».
Аллергия на классическую физику
Вернер Гейзенберг благодаря отличному образованию обладал нестандартным мышлением. Его отец был профессором греческого языка в университете Мюнхена, мать — дочерью ректора закрытого института. Гейзенберг любил быть первым во всем, чем занимался, — не важно, о чем шла речь: о теоретической физике, игре в настольный теннис или музицировании на пианино (на этом инструменте он играл с почти профессиональной виртуозностью). В мире науки Гейзенбергу посчастливилось встретить лучших учителей: «Я выучил физику, смешанную с оптимизмом Зоммерфельда и математикой Макса Борна, тогда как Нильс Бор посвятил меня в глубокий философский смысл научных проблем». Неожиданный приход Гейзенберга в квантовую механику означал появление человека, который мыслил оригинально и без всяких обязательств по отношению к наследию прошлого. Планк был прав, утверждая, что «новая научная правда побеждает не потому, что удается переубедить оппонентов и заставить их прозреть, а больше благодаря тому, что оппоненты в конце концов умирают, уступая место новому поколению, для которого эта правда уже привычна». Для движения вперед нужно было, чтобы пришло новое поколение, способное без внутренних затруднений работать над пробелами, уже заполненными квантовой теорией, и углублять знание. Первая мировая война задержала упомянутую смену поколений. Многие молодые ученые, такие как Шрёдингер, должны были оставить исследования и пойти на фронт. Кто-то из них не вернулся из окопов, и их возможный вклад в науку погиб вместе с ними. В первые послевоенные годы Германия, изгнанная из международного сообщества, страдала от научной изоляции. Однако когда Гейзенберг вошел в зрелый возраст, лед тронулся. В статье, которая вскоре сделает его знаменитым, Гейзенберг прислушался к словам из «Логико-философского трактата» Людвига Витгенштейна, опубликованного четырьмя годами ранее: «О чем невозможно говорить, о том следует молчать». Он применил этот совет, исследуя мир атомов: «О том, что невозможно измерить, следует умолчать». Объясняя феномены, ученые должны были воздержаться от введения элементов, которые невозможно измерить в лаборатории. Добавление любого элемента ради того, чтобы облегчить понимание, могло завести науку в тупик. Так Гейзенберг положил начало физике для канатоходцев. Прежде всего необходимо придерживаться математических правил. Тот, кто видел дальше других благодаря своему воображению, заканчивал тем, что спотыкался. Исходя из этого было несложно предвидеть результат: не следует применять интуитивное понимание к теории, которую невозможно увидеть. Статья Гейзенберга под названием «О квантовотеоретическом истолковании кинематических и механических соотношений» появилась летом 1925 года — за шесть месяцев до волновой механики Шрёдингера.
Австрийский физик получает Нобелевскую премию из рук короля Швеции Густава V в 1933 году.
Шрёдингер в период своего пребывания в колледже св. Магдалины в Оксфорде (около 1934 года), где он активно участвовал в споре относительно интерпретации квантовой теории.
Эрвин Шрёдингер на конференции, около 1950 года.
Если Шрёдингера охватывало творческое вдохновение, когда он находился на курорте в компании таинственной дамы, то Гейзенбергу меньше повезло с романтическими обстоятельствами: к нему пришло озарение, когда он в полном одиночестве находился на острове Гельголанд в Северном море, в 70 километрах от суши — остров был почти полностью лишен растительности, и ученый здесь надеялся спастись от жестокого приступа сезонной аллергии. «По прибытии на остров я, должно быть, находился в жалком состоянии, — вспоминает он. — Из-за моего опухшего лица дама, которая сдавала мне комнату, заподозрила, что я подрался накануне вечером, и прочитала мне наставления». Гейзенберг на острове много купался и гулял в дюнах, но также оставлял время для размышлений. Ученый поставил перед собой сложную задачу — «создать теоретическую базу для квантовой механики, которая основывается исключительно на отношениях между величинами в принципе наблюдаемыми». Он откинул несколько заметок, например об орбитах Бора, в которых было написано, что представлениям об орбитах электронов мы обязаны воображению, поскольку до сих пор никто не смог их зарегистрировать с помощью экспериментов и приборов. Гейзенберг решил опираться в поисках математической закономерности только на наблюдаемые величины. В случае спектров это частоты и интенсивности, и ни к чему бессмысленное отслеживание положения и скоростей электронов. Гейзенберг разработал систему, в которой наблюдаемые объекты были единственным материалом для построения модели. Главная забота ученого состояла в том, чтобы дать наблюдаемому объекту концептуальную основу, свободную от противоречий: «Особенно меня терзали сомнения относительно того, будет ли выполняться закон сохранения энергии. Я знал, что если энергия не сохранится, значит, концепция неверна». Принципиальные измеримые показатели, относящиеся к динамике частицы (заряд, частота или энергия), характеризовали ее переход между начальным и конечным состоянием, которое ученый представил совокупностью характеристик пит. Затем он подключил к переходам вероятности и выявил правила, их регулирующие. Гейзенберг доказал мастерство, воплощая свои физические предположения с помощью математических моделей, которые он не знал и с которыми импровизировал. И тут ученый наткнулся на «существенную сложность». В своих расчетах, умножая заряд одной частицы на ее энергию, он получал разные результаты, когда менял местами множитель и множимое. И даже несмотря на это расчеты не приводили к несогласованности. Когда Гейзенберг увидел, что закон сохранения энергии соблюдается, его охватило сильнейшее волнение: «В первый момент я до глубины души испугался. У меня было ощущение, что я гляжу сквозь поверхность атомных явлений на лежащее глубоко под нею основание поразительной внутренней красоты, и у меня кружилась голова от мысли, что я могу теперь проследить всю полноту математических структур, которые там, в глубине, развернула передо мной природа. Я был так взволнован, что не мог и думать о сне. Тогда я вышел из дома и направился к южной стороне острова. Там я заметил огромную скалу в виде башни, она возвышалась над морем, и я захотел взобраться на нее. Уже на вершине я дождался восхода солнца». После возвращения с Гельголанда Гейзенберг провел три недели, расшифровывая свои сделанные на скорую руку записи. Не вполне доверяя себе, молодой ученый решил отдать рукопись Максу Борну, чтобы узнать его мнение, а сам в это время отправился на конференции в Лейден и Кэмбридж. За время его отсутствия Борн прочитал статью. Это чтение «воодушевило его так, словно после кругосветного плавания он наконец-то увидел долгожданную землю». К счастью для Гейзенберга, любопытство Борна толкало его присутствовать на множестве лекций, которые читались в Бреслау: астрономия, логика, химия, философия, зоология и... высшая алгебра. Борн увидел в правилах Гейзенберга скрытую структуру, знакомую математикам, — матрицы. Уж если Макс Борн, который мог похвастаться солидными знаниями математики, должен был перерыть закрома своей памяти, чтобы вспомнить прошлые занятия по алгебре, можно представить эффект, произведенный статьей Гейзенберга на большинство физиков, которые все эти матрицы попросту игнорировали. Математика была абстрактной наукой и на взгляд новичка таила в себе что-то недосказанное, секретное. Даже для последующих физиков, привычных к языку матриц, расчеты Гейзенберга казались неявными, да они и не приводились полностью в статье «О квантовотеоретическом истолковании кинематических и механических соотношений». Стивен Вайнберг, лауреат Нобелевской премии по физике 1979 года, видел в матрицах нечто магическое: «Если то, что сделал Гейзенберг, озадачивает читателя, то вы, читатель, не одиноки. Несколько раз я пытался прочесть статью, написанную Гейзенбергом по возвращении с Гельголанда, и хотя, как мне кажется, я понимаю квантовую механику, мне никогда не удавалось уловить те мотивы, которые побудили Гейзенберга к математическим действиям в его работе». Борн провел лето 1925 года вместе со своим ассистентом, математиком Паскуалем Иорданом, шлифуя идеи Гейзенберга, используя матрицы. В этой работе участвовал и сам Гейзенберг, сначала с помощью писем, затем — лично, когда вернулся с каникул. Наконец, эти трое опубликовали совместную статью, в которой изложили официальную версию матричной механики. Физикам эта работа известна под названием Dreimannerarbeit («Произведение трех мужчин»). И подход авторов был так же необычен, как и сам мир атомов.
Квантовый язык
Матрицы — это особые математические объекты, которые могут быть представлены в виде таблицы, состоящей из строк и столбцов, с произвольным числом в каждой клетке.| 5 | -1 | 52 |
| 7/3 | 8 | -21 |
| 0 | -19/7 | 1 |
где Р и Q являются матрицами, представляющими количество движений (Р) и расположение (Q, i — корень от -1, a h — постоянная Планка. I — это единичная матрица, которая играет такую же роль в алгебре матриц, что и число 1 в арифметике.
В первом случае конечное расположение М и S — это М1 и S1. Во втором — это М2 и S2. Как можно увидеть, они не совпадают. Второй случай переносит точку М2 на другую сторону сферы.
Уравнение (1) означает, что произведение Р х Q дает матрицу, отличную от Q • Р. Из этого можно сделать вывод: каждое измерение материального объекта (например, электрона) меняет его. Таким образом, если вначале определяют положение, а затем импульс, результат отличается от того, который мы получим при измерении сначала импульса, а затем положения. Это удивительное наблюдение говорит о принципе неопределенности, как мы это увидим дальше. На тех уровнях, где h появляется исчезающе малой величиной, мы имеем дело с феноменами, которые можем наблюдать с помощью наших органов чувств, и можно предположить, что постоянная равна нулю, как в хитрости Больцмана, которую Планк использовал, чтобы сократить спектр излучения внутри печи.
Таким образом, если h → 0, тогда: Р • Q— Q • Р = 0, откуда: P • Q = Q • P.
Произведение вновь становится коммутативным, и мы оказываемся в обычной ситуации. Аналогично, расстояние между дискретными значениями стремится к нулю и доходит до него, что позволяет вернуться к классическому подходу. Уравнение (1) играет такую же роль углового камня матричной механики, как и уравнение Шрёдингера для волновой механики. На самом деле значительные трудности, возникающие с некоммутативностью матриц, означают, что мы работаем с квантовым состоянием.
Втитанической работе на более чем 30 страницах Вольфганг Паули рассчитал уровни энергии Еn стационарных состояний атома водорода (знаменитая формула Бора), применяя идеи Гейзенберга и Борна до того, как Шрёдингер сделал то же самое со своим волновым уравнением. Несмотря на успех, это нововведение было не очень принято в физических кругах.
В марте 1926 года Эйнштейн осторожно заявил: «Концепции Борна и Гейзенберга заставляют нас потерять дар речи, они переворачивают видение любого человека, склонного к теории. Мы, наблюдавшие за этим, ощущаем не столько смирение, сколько некоторое напряжение». Наедине он давал волю сарказму: «Гейзенберг снес огромное квантовое яйцо. Гёттингенцы верят ему, я — нет».
Шрёдингер был согласен с Эйнштейном. Его волновая механика была ответом на захватывающий поворот событий, который принимали квантовые теории, звучавшие в Гёттингене:
«Для меня крайне сложно подойти к проблемам, вроде уже упомянутых, если мы вынуждены по эпистемологическим причинам вычеркнуть видение атомной динамики и работать лишь с абстрактными концепциями, такими как вероятности перехода, уровни энергии и так далее».
Борн считал, что Шрёдингер ищет путь, который позволил бы вернуться к классической физике, дающей ясное понимание событий.
Физика матриц
Чтобы определить каждый из элементов матриц, мы прибегаем к тому же методу, который используется в игре в морской бой. Только вместо применения буквы и цифры (A1, G5) мы вводим две цифры: первая обозначает строку, вторая — столбец. Таким образом, в примере, приведенном выше, число -21 находится на позиции 23 (вторая строка, третий столбец), а число 0 — на позиции 31 (третья строка, первый столбец). Когда речь идет о произвольной матрице, ее элементы представляют буквами:
Элементы с двумя одинаковыми индексами составляют диагональ матрицы.
Классическая непрерывность естественно выражается функциями. Квантовая дискретность отлично сочетается с матрицами. Если представить уровни энергии атома водорода (по формуле Бора) с помощью горизонтальных линий:
получим схему, похожую на изображенную на следующем рисунке.
Значения для каждого уровня выражены в электронвольтах — единицах измерения энергии в малых количествах, адаптированных для масштаба атома. Например, 3,75 • 1020 eV необходимо, чтобы заставить работать электрическую лампочку мощностью 60 W в течение одной секунды.
Затем мы записываем данные в клетки матрицы, указывая значения для каждого уровня энергии вдоль диагонали, а возможные переходы — вне диагонали. Таким образом, элемент Еmn матрицы соответствует скачку Еn-Еm. Принимая во внимание, что n и m могут расти до бесконечности, матрица тоже увеличивается до бесконечности (смотри рисунок). Значения других наблюдаемых величин, таких как положение или импульс, также могут быть записаны в бесконечной матрице.
Подобного хотели также Планк и Эйнштейн, правда, они направлялись не назад, а вперед. Именно поэтому Шрёдингер на какое-то время отошел от гёттингенской группы, которая жонглировала матрицами и недоумевала, почему так много физиков хотят скорее завершить этот алгебраический кошмар. Шрёдингер даже не подозревал, что именно один из его научных оппонентов найдет ответ на вопрос, который так долго ему не давался: что такое ψ?
Паули — принципиально исключительный
Венский физик Вольфганг Паули (1900-1958) входил в число ученых, которые часто становятся героями анекдотов. Говорили, что в его присутствии чувствительное лабораторное оборудование переставало работать и даже ломалось (знаменитый эффект Паули). Невзирая на авторитет Эйнштейна или Бора, он резко критиковал их; доставалось и другим физикам. Гейзенберг, один из лучших друзей Паули, терпеливо сносил всю его язвительность, потому что Паули не только бранился, но и очень быстро умел определить, что в работе шло не так: «Я не считаю, сколько раз он обозвал меня идиотом или как-нибудь еще. Главное — что это мне очень помогло». Коллеги иногда называли ученого «совестью физики», потому что, встретив откровенно слабую работу, он был безжалостен и не щадил ее автора. Стало знаменитым его высказывание об одном из таких опусов: «Это не только неправильно, это даже не дотягивает до ошибочного!» Разрушительная критика Паули помогала развитию науки, в которой, по мнению ученого, в отличие от религии, не место аргументам, которые нельзя оспорить. Физик любил работать по ночам. В студенческие годы Гейзенберг часто возмущался, видя Паули приходящим в университет после обеда.
Фундаментальная физика
Наследие Паули богато и разнообразно. Он способствовал формированию основ квантовой механики и ядерной физики. В1925 году Паули изложил свой знаменитый принцип запрета: в пределах одной квантовой системы два и более тождественных фермиона (протона, электрона, нейтрино и других частиц) не могут одновременно находиться в одном же квантовом состоянии. Принцип Паули заставляет частицы с одним квантовым состоянием сохранять расстояния между собой и объясняет наличие в структуре атома электронных оболочек, а соответственно, и многообразие химических элементов. Этот принцип объясняет, почему материя остается плотной, а не распадается на более мелкие части. В 1930 году физик предположил существование самой таинственной элементарной частицы — нейтрона (нейтрино). Через 26 лет экспериментальные физики наконец смогли открыть эту частицу, причем именно там, где предсказывал Паули.Кризис абстракций
В 1921 году Макс Борн был назначен руководителем Института физики Гёттингена. Обладая природным дружелюбием, он всегда опекал молодых исследователей и помогал им достичь успеха. Тот факт, что трое его ассистентов получили Нобелевскую премию, не простое совпадение. Несмотря на свою скромность, Борн был одним из самых продуктивных ученых. Одна из его работ сразу стала причиной бурных научных споров и принесла своему автору известность — это была работа, в которой Борн нашел неизвестную ψ. Как сочетается волновая функция Шрёдингера с корпускулярностью, которую Борн подтверждал опытным путем каждый день? Физики, исследуя микропространство, либо натыкались на какую-то частицу, либо не находили ничего, в том числе им не встречались и признаки плотности протяженного заряда. Как говорил Борн, «стало возможным пересчитать частицы с помощью детектора или счетчика Гейгера», и казалось маловероятным, что в момент измерения рассеянный заряд концентрируется в какой-то одной точке пространства. В действительности ответ на самый большой вопрос волнового уравнения находился не в функции ψ. Вообще говоря, решение уравнения Шрёдингера представляет собой комплексное число, то есть число вида а + bi, где r = sqrt(-1). Но это влечет новую квантовую головоломку: на практике со времен Архимеда (чтобы не заходить еще дальше вглубь веков) даже в самых сложных измерениях комплексные числа не применялись. Расстояние, время, давление или сила тока всегда характеризовались действительными числами — 7, —2/3, sqrt(5) или π. Какое-то время Шрёдингер считал, что сможет обойти этот подводный камень и использовать только действительную часть числа, как в других случаях, когда комплексные числа вводили для облегчения расчетов. Математический смысл операции заключался в том, чтобы выделить из комплексного числа часть без загадочной r. Например, действительная часть из 5 + 3i — это просто-напросто 5. Но стратегия не принесла ожидаемых результатов, и нужно было придумать что-то другое, чтобы разрешить проблему функции ψ. Каждое мнимое число имеет симметричное, сопряженное число — зеркальное отражение относительно вещественной оси. Это воображаемое отражение записывают, изменяя знак комплексной части. Например, сопряженное число для 2 + Зi — это 2 - Зi. Если числа обозначены буквами, сопряженное число маркируется звездочкой. Если а = 2 + Зi, тогда а* = 2-Зi. Перемножая сопряженные числа, всегда получаем действительное число.
Если мнимая часть равна нулю (у = 0), произведение сводится к тому, чтобы просто вычислить квадрат числа.
Физическим смыслом была наделена не функция ψ, а произведение ψ х ψ*, которое также записывают в виде |ψ|². Как и в случае с ψ, это значение является функцией положения и времени.
Освободив электрон от корпускулярных свойств, Шрёдингер сделал эту величину частью заряженного облака, «размазанного» в пространстве. Значения |ψ|² определяли, какая порция электрического заряда находилась в каждой точке в каждый момент времени. Борн решил отказаться от использования подобных конкретных интерпретаций в пользу статистической перспективы. Он увидел в |ψ|² указание на вероятность события: когда физик в лаборатории определяет положение какой-либо частицы, вероятность найти ее в данной точке пропорциональна значению квадрата ψ.
Любопытно, что Шрёдингер в своей четвертой статье по волновой механике, которую он отправил в журнал Annalen der Physik («Анналы физики») в июне 1926 года, всего за несколько дней до Борна делает такой же вывод. Несложно догадаться, почему все же ученый отказался от этой идеи: его уравнение хорошо работало в комфортном окружении непрерывных функций и частных производных, но статистическая интерпретация добавила к ψ абстрактную сложность матричной механики, покончив с любой попыткой визуализации электронов. Когда речь идет о матрицах, вероятностях перехода или статистических функциях, случайный выбор управляет законами природы, что размывает любое изображение атома. Волновая вероятностная функция была совершенно непригодна для того, чтобы следовать за электроном, повторяя классические траектории или описывая последовательность его положений.
Игра в прятки
В примерах, рассмотренных в предыдущей главе и касающихся радиальной зависимости ψ в стационарных состояниях атома водорода, отношение между R(r) и вероятностью Р(r) найти электрон в радиусе г ядра изображено на рисунке. Максимумы функций Р(r) указывают места, где электрон находится вероятнее всего. Пик первой функции, соответствующий фундаментальному состоянию, находится на расстоянии, равном радиусу, который Бор присвоил самой маленькой кольцевой орбите своей модели. Однако, согласно Борну, существует вероятность — пусть незначительная — найти электрон даже в галактике Андромеды. Иначе говоря, частица может находиться практически в любом месте, но очень велика вероятность, что она располагается в особых местах, на которые указывает |ψ|². Это дополнение означает, что уравнение Шрёдингера совершенно точно объясняет поведение волновой функции.
Слева: Радиальная волновая функция R(r) справа: Радиальное распределение вероятностей Р(r)
В казино природы
В квантовой системе уравнение Шрёдингера рассматривает все возможные состояния и рассчитывает вероятность каждого, точно как шансы игрока в карты. Игрок знает свои шансы выиграть, но он не знает, какой будет следующая карта, выданная крупье. Вероятности продиктованы структурой и элементами системы. Играть 40 картами и восьмью или девятью, двумя джокерами или сразу двумя колодами — все это не одно и то же. Зная структуру и элементы системы, статистика позволяет проанализировать игру и разработать выигрышную стратегию. В жизни нам в этом анализе помогает некоторый уровень знаний об игре. А еще можно открыть все карты и запомнить, где находится каждая из них. Теперь, если мы опять положим карты рубашкой вверх, больше нет необходимости в статистике: мы уже знаем, какой будет следующая карта и где лежит туз. Возможно ли такое в наших знаниях о квантовом мире? Существует ли уровень реальности, на котором можно увидеть все карты природы, тот детерминистический уровень, на котором использование квантовой статистики объясняется лишь нашим частичным незнанием? Большинство физиков считают, что такого уровня не существует. А Эйнштейн был прямо-таки убежден в том, что квантовая механика характеризуется определенной неполнотой.Безусловно, вероятности с помощью этой функции определялись отлично, но тень от них мешала физику «увидеть» происходящее. Была ли такая неизмеримость само собой разумеющимся построением? Борн считал, что уравнение Шрёдингера соответствовало критериям Гейзенберга: при лабораторном анализе все квантовые измерения распределялись согласно моделям, описанным с помощью волнового уравнения. По мнению Гейзенберга, Борн «соединил математику Шрёдингера с удачной интерпретацией». Функция |ψ (х, у, 2, t)|² зависит от трех пространственных координат и одной временной, но она неприменима для реального пространства. Чтобы объяснить это, используем аналогию. Если человек находится перед мишенью так близко, что может дотронуться до нее, вероятность того, что он попадет в цель, максимальна (присвоим ей значение 1). При удалении стрелка от мишени вероятность попасть в цель уменьшается в зависимости от расстояния и угла выстрела. Если игрок находится позади мишени или на расстоянии одного километра от нее, вероятность попадания равна 0. Таким образом, следует сформулировать статистическую функцию, которая зависит от пространственных координат, присваивая каждой точке пространства вероятность попасть в цель, находящуюся в промежутке между максимумом и минимумом (1 и 0). Что происходит, если цель движется? Распределение вероятностей в пространстве также меняется. Координаты, для которых функция равна 1, перемещаются вместе с целью. Вероятности для положений, откуда стрелок имел все шансы проявить меткость, уменьшаются по мере удаления мишени, тогда как вероятности других точек растут (смотри рисунок). Мы можем сделать следующий вывод: значения вероятностей распределяются в пространстве, следуя за мишенью, и меняются с течением времени, однако никакой прибор не может их зафиксировать. Нашей функции соответствуют определенные значения, но она не имеет никакого физического смысла и не применяется в реальном пространстве.
Два положения движущейся мишени и связанные с ними изменения вероятностей в каждой точке.
Функция ψ, словно частный детектив, определяет обычное положение электрона или его последние известные точки пребывания. Однако она не позволяет сделать некоторые прогнозы относительно его поведения в зависимости от изменений в его окружении. Зоны, где вероятнее всего может находиться частица, с течением времени меняются, но это изменение не может быть зарегистрировано приборами. Реальность мира электронов гораздо тоньше привычной нам реальности.
Модели атомов
Новая интерпретация ψ влечет различный расчет вероятностей в зависимости от уровня энергии атома водорода. Проведем такой мысленный эксперимент: возьмем 100 независимых атомов, находящихся в одинаковом энергетическом состоянии, и попытаемся определить положение их электронов. Каждый займет определенную точку пространства с зафиксированными координатами. Затем внесем данные в компьютер и объединим 100 атомов в одну целостную картину. Мы заметим, что в одних зонах атомы располагаются менее, а в других — более концентрированно, образуя, таким образом, облака нерегулярной плотности (рисунок 1). Количество точек в каждой зоне дает представление о вероятности найти в ней электрон в ходе нового эксперимента. Если бы нужно было предположить, в какой зоне будет находиться электрон 101-го атома, то мы однозначно остановились бы на одном из таких мест концентрации атомов. Это зоны, в которых |ψ|² достигает максимального значения. С уменьшением плотности точек функция тоже уменьшается; там, где точек нет вообще, функция равна нулю. Если бы мы проводили этот опыт с другими 100 атомами водорода с одинаковым уровнем энергии (но этот уровень отличался бы от уровня в предыдущем опыте), облака точек были бы организованы другим образом (рисунок 2).
РИС. 1
РИС. 2
Благодаря ψ и |ψ|² эти данные можно представить в виде чисел. Мы уже знаем, что невозможно визуализировать ψ в трех измерениях; это же справедливо и для |ψ|². Чтобы представить часть информации, содержащейся в этих функциях, графически, обычно изображают облака точек или нечто подобное.
Технически термин «орбитальный» является синонимом волновой функции, но на практике он используется для описания этих представлений. Функции — решения уравнения Шрёдингера математически определяют контуры всех уровней энергии, на которых электрон может находиться в атоме водорода.
Любопытная деталь: существуют различные варианты форм орбиталей, однако их не бесконечное количество, скорее мы имеем дело с повторяющимися шаблонами, которые имеют разные размеры или другие незначительные отличия друг от друга. Все типы форм физики распределили по группам: s-орбитали соответствуют облакам со сферической симметрией; p-орбитали похожи на лопасти пропеллера; d- и f-орбитали состоят из множества лепестков и напоминают цветок. Буквенные обозначения соответствуют терминологии, которую используют спектроскописты: s — от sharp («резкий»), р — от principal («главный»), d — от diffuse («диффузный») и f — от fundamental («фундаментальный») (рисунок 3, стр. 125).
В функциях — решениях ψ также находят отражение квантовые числа n, m и l, как и в модели Зоммерфельда. Каждое из них означает определенный параметр, позволяющий смоделировать орбитали. Число / обозначает модель: l=0 соответствует s-орбитали; l = 1 соответствует р-орбитали; l = 2 — d-орбитали; l = 3 - f-орбитали. Число п дает представление о масштабе, то есть является ли орбиталь для данной модели большей или меньшей. Число т определяет ориентацию орбитали. Меняя эти параметры, в итоге получаем модель s-орбитали, трех р-орбиталей, пяти d-орбиталей и семи f-орбиталей, расположение которых будет зависеть от уровня энергии (рисунки 4 и 5).
По мере роста п увеличивается и энергия, и в каждой модели мы наблюдаем изменения, которые напоминают манипуляции продавца воздушных шариков, когда он скручивает свои шарики-колбаски, превращая их в маленькую собачку. Эти перегибы играют роль узлов на колеблющейся струне, и с ростом энергии их количество также увеличивается. В структуре атомов эти узлы обозначают зоны, в которых вероятность найти электрон равна нулю. Некоторые из этих частиц построены на основании радиальных функций, рассмотренных в предыдущей главе, и функции радиального распределения вероятностей Р(r) в рассматриваемой площади. Если бы мы решили рассмотреть различные орбитали во время описанного мысленного эксперимента со 100 атомами, то смогли бы увидеть узлы, совершив поперечное сечение облака распределения атомов: узлы соответствовали бы пустым зонам, свободным от точек (рисунок 6, стр. 126).
За исключением самых простых случаев (таких как атом водорода) листа бумаги и карандаша недостаточно для поиска решений уравнения Шрёдингера, поскольку это выражения, сформулированные с помощью известных функций, в которых участвуют различные переменные и постоянные показатели. Однако когда уравнение уже сформулировано, можно пойти путем приближений. Самое простое предположение, возможно, заключается в том, что атом, состоящий, например, из семи электронов, мы могли бы представить, накладывая друг на друга (словно слои в фотошопе) семь отдельных атомов водорода, причем состояние всех семи электронов отличалось бы.
РИС.З
Орбиталь s Орбиталь р Орбиталь d Орбиталь f
РИС. 4
Три р-орбитали при n = 2 Три р-орбитали при n- 3
РИС. 5
Пять d-орбиталей при n = 3 Семь f-орбиталей при n = 4
РИС. 6
Облако и Р(r) для s-орбитали, n = 1 (0 узлов)
Облако и Р(r) для s-орбитали, n = 2 (1 узел)
Облако и Р(r) для р-орбитали, n = 2 (1 узел)
Облако и Р(r) для р-орбитали, n = 3 (2 узла)
Облако и Р(r) для р-орбитали, n = 4 (3 узла)
Таким образом, основываясь на строении атома водорода, мы можем предполагать, как устроены более сложные атомы. Чтобы сделать последний штрих, нам не хватает главного ингредиента — им является принцип запрета Паули. Применительно к атому принцип означает, что на одной орбитали могут находиться максимум два электрона. Благодаря этому ограничению заряды не концентрируются на уровне минимальной энергии, в отличие, например, от толпы зрителей на концерте, которая стремится собраться перед сценой. В соответствии с принципом Паули заряды распределяются по энергетическим ступенькам, формируя таким образом структуру атома. Каждая s-орбиталь может принять два электрона, три р-орбитали могут принять шесть электронов, пять d-орбиталей — десять электронов и семь f-орбиталей — 14 электронов. По мере возрастания энергии количество орбиталей увеличивается, и атом становится похож на матрешку или луковицу. Химические свойства вещества определяются формой и содержимым орбиталей, расположенных ближе к внешнему краю. Конечно, описывая атом таким образом, мы несколько упрощаем: в реальности волновая функция атома из семи электронов является результатом взаимодействия частиц, а не механического наслоения семи независимых электронов.
Секрет химии
Зимним утром 1869 года русский химик Дмитрий Менделеев (1834-1907) записал на маленьких кусочках картона названия 63 элементов, известных в то время, а также коротко перечислил их главные характеристики. Оставляя некоторые места пустыми, он уложил эти кусочки картона в ряды и столбцы, и это расположение в общих чертах иллюстрировало периодическое повторение химических свойств элементов. При этом Менделеев эмпирическим путем смог подтвердить справедливость орбитальной модели. Каждая клетка таблицы содержит один элемент. Таблица читается слева направо и сверху вниз. Чтобы перейти от одной клетки к другой (от одного элемента к другому), достаточно прибавить к исходному элементу один протон и один электрон. Положительный заряд концентрируется в ядре, а отрицательный находится на орбиталях. Отправная точка — это водород, состоящий из одного электрона и одного протона; следующий элемент — это гелий, с двумя электронами и двумя протонами, и так далее. Нейтроны живут по своим собственным правилам. Электроны элементов одного столбца распределены на орбиталях, ближних к внешнему краю, одинаково.
Периодическая таблица и орбитали.
Например, каждый элемент столбца 7А имеет пять электронов, распределенных по трем р-орбиталям, которые расположены ближе к внешнему краю. Речь идет о галогенах: фторе, хлоре, броме, йоде... Все эти элементы, несмотря на свои различия, имеют общие характеристики. Например, они очень летучи и легко могут отнять электрон у других элементов, чтобы пополнить свою р-орбиталь, на которой всегда находится одинокий электрон.
Модель наложения прозрачных контуров орбиталей можно расширить, добавив к ней другие атомы и соединив их с молекулами. Наложение атомных орбиталей позволяет увидеть молекулярные орбитали. В более точных вариантах приближения молекулярные орбитали являются результатом взаимодействия между всеми зарядами, а не обычного наложения независимых атомов.
Шрёдингер против Борна
Во время конференции, которая была организована до вручения Нобелевской премии и длилась несколько дней, Борн узнал, что большинство физиков приняли представленную им статистическую интерпретацию, но убедила она далеко не всех.«Планк до самой смерти оставался на стороне скептиков, хотя Эйнштейн, де Бройль и Шрёдингер не перестали настаивать на сомнительных моментах квантовой механики, желая возвращения к классическим ньютоновским концепциям и предлагая для этого решения, не опровергающие экспериментальные результаты».
В ходе своей дискуссии с Бором и Гейзенбергом Эйнштейн писал Бору свое знаменитое: «Квантовая механика — теория, внушающая большое уважение. Но внутренний голос говорит мне, что это еще не то, что нужно. Эта теория дает много, но едва ли она подвела нас ближе к тайне Старика (Бога. — Примеч. ред.). Во всяком случае, я убежден, что тот не играет в кости». Этот намек на статистическую интерпретацию поразил Борна: «Мнение Эйнштейна о квантовой механике было словно нож гильотины». Более молодое поколение физиков не испытывало подобной озабоченности. В своей частной переписке Гейзенберг подшучивал над Эйнштейном, де Бройлем и Шрёдингером, называя их рыцарями постоянства.
Бог знает, что я совсем не люблю статистическую теорию. На самом деле я ее возненавидел с того момента, как наш дорогой друг Макс Борн представил ее свету. Шрёдингер о работах Макса Борна
В результате сформировались две фракции. С одной стороны, коалиция Гёттингена и Института Бора восхваляла каноническую версию квантовой механики, так называемую копенгагенскую интерпретацию. С другой — Эйнштейн и Шрёдингер и прочие радикалы прилагали все усилия, чтобы подорвать ее основы. Это была не личная вражда, а всего лишь поиск научной истины, во время которого противоборствующие лагеря то и дело обменивались перебежчиками. Шрёдингер никогда не принимал метод, которым Борн изменил его волновую функцию, и к концу жизни, наблюдая почти полную победу статистической интерпретации, упрекнул того в письме, полном юмора, сердечности и шутливого негодования: «Ты, Максик, знаешь, как я тебя люблю, и здесь ничего нельзя изменить. Но да будет мне позволено устроить тебе хорошую головомойку. Ты так неделикатно кричишь о якобы универсальной копенгагенской интерпретации на всех научных углах и без всякой скромности утверждаешь это перед галеркой любителей включительно, и это граничит с нахальством. Ты действительно думаешь, что однажды человечество склонится перед этой чушью?»
Шрёдингер против Гейзенберга и Бора
В мае 1926 года невозмутимый Шрёдингер без остановок шел к своей цели. Он был убежден, что значение его работ утрачено, а претензии Гейзенберга привели к превращению квантовой механики в абстрактную территорию, и это беспокоило физика: «Учитывая радикальные различия между отправными точками и концепциями квантовой механики Гейзенберга и <...> волновой механикой <...>, крайне странно, что известные факты этих двух теорий, в которых и состоит главное отличие от старой квантовой теории, будут объединены». Шрёдингер использовал свои потрясающие способности к анализу и математическую интуицию, чтобы сравнить свои работы и работы Гейзенберга. Необходимо было решить парадокс: почему абстрактная и волновая теория достигали одинаковых результатов в исследовании одних и тех же проблем? Ответ был неожиданным: эти теории оказались идентичными с математической точки зрения. Так же как положение точки в пространстве может быть описано тремя декартовыми координатами (х, у, z) или при помощи радиуса г и углов (Θ, ф), матрицы и дифференциальные уравнения представляли собой два разных инструмента, игравших одинаковую роль. Так же как дом можно описать при помощи картинки или текста, эти теории передавали одно и то же сообщение двумя разными способами. И так же, как следует сравнивать слова, описывающие размеры комнаты или материала, из которого сделана мебель, с изображением на картинке, нужно было сравнить выражения анализа с алгебраическими. Оба метода содержали преимущества и недостатки и имели разную эффективность при передаче некоторых нюансов. Но в любом случае обе теории описывали один и тот же дом. И матрицы, и дифференциальные уравнения на разных языках описывали одно и то же. Что означает это соответствие с технической точки зрения? Шрёдингер знал, что для некоторых ученых математический эквивалент «рифмуется» с физическим, но сам этого мнения не придерживался. Отшельники от математики, ведущие уединенную жизнь, были более склонны к абстракциям, чем ученые, открытые миру и приверженные физическому подходу. В этом плане волновая механика представляла собой идеальный компромисс. Для того чтобы теория могла развиваться, необходима система, способная как проектировать интуитивные модели, так и приближать их к реальности.Мой молодой друг, вам еще многое предстоит выучить в физике... Поэтому устраивайтесь поудобней. Замечание Вильгельма Вина, адресованное Гейзенбергу во время семинара в Мюнхене в 1926 году
Однако, несмотря на такое сближение волновой и матричной механики, красноречивый Шрёдингер критически отзывался о детище Гейзенберга: «Моя теория вдохновлена работой Луи де Бройля и некоторыми замечаниями Альберта Эйнштейна. <...> Я не вижу в ней никакой связи с представлениями Гейзенберга. Конечно, я знал о его теории, однако меня отпугивали, если не сказать отталкивали, казавшиеся мне очень трудными методы трансцендентной алгебры и отсутствие всякой наглядности». Это замечание оскорбило Гейзенберга, однако он промолчал и лишь наедине с Паули дал выход своим чувствам: «Чем больше я размышляю о физической части теории Шрёдингера, тем ужаснее она мне кажется». Из справедливости как матричного, так и аналитического подхода следовало, что математические основы квантовой механики были сформулированы. Однако науку ожидало решающее сражение относительно окончательной интерпретации теории. Именно в Мюнхене 21 июля 1926 года состоялась первая дискуссия: Шрёдингер принял приглашение Зоммерфельда и Вильяма Вина и приехал, чтобы провести два семинара по своей новой волновой механике. Гейзенберг в это время находился у родителей в этом же городе и специально пришел послушать доклад коллеги. Когда начались прения, он заметил, что вследствие толкования Шрёдингера совершенно невозможно объяснить закон излучения Планка. Шрёдингер не нашел, что ответить, однако тут вмешался Вильгельм Вин, также присутствовавший на прениях. Он довольно резко заявил, что теперь с квантовым скачком покончено и что упомянутые Гейзенбергом трудности будут преодолены в ближайшем будущем. Гейзенберг кипел от возмущения. Он попробовал продолжить спор, но Вин, который испытывал к молодому ученому некоторую неприязнь, едва не попросил его покинуть аудиторию. Гейзенберга оскорбила не только эта грубость, позже он говорил: «Шрёдингер просто выбрасывает за борт все квантово-теоретическое, то есть фотоэлектронный эффект, ионизационные толчки Франка, опыты Штерна, Герлаха и так далее. Не очень сложно построить теорию таким способом». Немного успокоившись, в этот же вечер Вернер встретился со своими наставниками, Борном и Бором, и обсудил ситуацию. А чуть позже Шрёдингер получил от Бора приглашение посетить в октябре Копенгаген, чтобы спокойно обсудить интерпретацию квантовой теории. Гейзенберг так вспоминал об этой встрече: «Дискуссия между Бором и Шрёдингером началась прямо на вокзале в Копенгагене и продолжалась с раннего утра до поздней ночи каждый день. Шрёдингер остановился в доме Бора, так что никакие посторонние обстоятельства не мешали их разговорам. И хотя Бор в общении с людьми был всегда предупредителен и любезен, теперь он казался мне чуть ли не фанатиком, не идущим ни на какие уступки своему собеседнику и не прощающим ему малейшей неточности». Непреклонный датчанин отметал все аргументы, сразу замечал уязвимые места в возражениях оппонента. Через эту экзекуцию прошел каждый довод Шрёдингера, а позднее — каждое наблюдение Эйнштейна. Однажды, почти в отчаянии, Шрёдингер воскликнул: «Если мы собираемся сохранить эти проклятые квантовые скачки, то я вообще сожалею, что имел дело с атомной теорией!» Словом, Бор все эти дни, не снимая с лица любезной улыбки, безжалостно терзал гостя: «Через несколько дней Шрёдингер заболел — вероятно, вследствие чрезмерного перенапряжения. Он слег с простудой. Госпожа Бор ухаживала за ним, приносила ему чай с пирожными, а Нильс Бор сидел на краешке кровати и внушал Шрёдингеру: «Но вы же должны признать, что...» При всем проявленном рвении Бор признавал вклад, сделанный Шрёдингером: «Ваша волновая механика принесла с собой такую математическую ясность и простоту, что явилась гигантским шагом вперед». Инструмент, предложенный Шрёдингером, также был бесценным, но он не соответствовал прилагаемой инструкции. Даже Гейзенберг оценил волновое уравнение по достоинству. Победив лихорадку и вернувшись из Копенгагена живым и здоровым, Шрёдингер надолго запомнил дар убеждения, присущий Бору. Он даже признался Вину: «Довольно скоро наступает момент, когда ты уже не понимаешь, должен ты принять позицию атакующего или сам атаковать ее». Словом, поездка в Копенгаген стала для Шрёдингера «действительно незабываемым опытом». Гейзенберг все это время находился на втором плане. Поприсутствовав на поединке Бора и Шрёдингера, он перевернул страницу квантовой теории — эту главу он считал завершенной, а споры относительно нее — бесцельными.
Неопределенность
Осознавая последствия своей интерпретации волновой функции, Макс Борн принял рискованное решение: «Я готов отказаться от детерминизма ради атомного плана». В 1927 году Гейзенберг предоставляет для такого отказа весомые аргументы и четко определяет границы детерминизма относительно квантовой физики. Своими мыслями он делится с Паули, написав тому письмо на десять с лишним страниц, которое впоследствии послужит основой для статьи «О наглядном содержании квантовотеоретической кинематики и механики». В работе была освещена статистическая интерпретация функции |ψ|², а ее публикация в марте этого же года ознаменовала конец эпохи классической механики. Кроме того, работа вводила в физику новое уравнение, которое станет таким же известным, как уравнение Шрёдингера. Динамика Ньютона основывалась на следующих постулатах: расположение и скорость тела в любой момент могут быть определены с произвольной точностью. Теоретически траектория определяется решением дифференциального уравнения, а на практике достаточно определить время и положение объекта. Но для этого необходимо проследить за его движением. Это условие не создает трудностей, когда речь идет о мяче или космическом корабле. Но как увидеть электрон? Для начала его необходимо осветить. Однако осветить частицу — не то же самое, что осветить мяч. В случае с мячом существует значительное отличие в масштабах между размером структуры, которую рассматривают (мяч), и тем, что его освещает (фотон). А элементарная частица и фотон — это два квантовых объекта, которые вступают между собой во взаимодействие. Мы можем проследить за траекторией мяча на теннисном корте. При этом свет воздействует на электроны, в изобилии встречающиеся в пространстве (затем эти электроны возвращаются на уровни с более низкой энергией и излучают фотоны, которые улавливаются клетками нашей сетчатки), но не смещает мяч с его траектории. Как мы видели в главе 1, Эйнштейн пришел к выводу, что фотоны должны себя вести как частицы. Затем Комптон доказал в лаборатории, что светящиеся кванты заставляют электроны изменить траекторию, словно при столкновении бильярдных шаров. Таким образом, простая попытка осветить частицу вызывает ее смещение относительно положения, которое мы хотели зафиксировать. Можно ли узнать, где находилась частица до того, как ее траектория была изменена? Нет. Единственный способ узнать положение частицы — это зафиксировать его, при этом сам факт наблюдения влечет изменение этого положения. Представим, что теннисный мяч, получив импульс от ракетки, меняет свою траекторию при каждом столкновении с фотоном. В этом случае было бы практически невозможно воспроизвести подобную хаотичную траекторию. Именно это и происходит на уровне атомов. Можно попробовать уменьшить энергию света, чтобы сократить воздействие на электрон и избежать значительного изменения его траектории. Согласно формуле Планка (Е = h х v), уменьшение энергии света происходит путем снижения частоты или удлинения электромагнитных волн, что одно и то же. Но эта стратегия не срабатывает. Четкость изображения (оно формируется с помощью электромагнитных волн) зависит от длины волны, которая с ним взаимодействует. Чем сильнее волны удлиняются, тем более размытой становится картинка, которую они дают. Это какой-то заговор! Мы способны или определить траекторию электрона, но при этом сам факт наблюдения эту траекторию нарушает, или сделать так, чтобы энергия не влияла на траекторию частицы, но при этом мы не сможем частицу рассмотреть. Вернемся к примеру с теннисным кортом. Предположим, что у нас есть очень простой прибор, позволяющий менять длину волны света, с которой мы хотели бы смотреть соревнования. В принципе, на короткий период мы можем обеспечить достаточную четкость изображения, но фотоны толкают мяч с такой силой, что световые частицы, проходящие перед нашими глазами, не могут зафиксировать его положение. Будем увеличивать длину световой волны, снижая таким образом их влияние на мяч. Изображение корта станет более размытым. В тот момент, когда начинает вырисовываться траектория мяча, мы превысим допустимое разрешение и снова окажемся погруженными в квантовый туман. Как видите, существует степень неопределенности, присущая наблюдению, которую нельзя уменьшить. А все потому, что свет (измеряющий субъект) и электрон (измеряемый объект) являются квантовыми сущностями, которые воздействуют друг на друга.Неопределенность в цифрах
Возьмем отношение Δq · Δρ => h/4π, которое можно переформулировать, используя Δν, при этом р=m • у:
Неравенство показывает, что граница неопределенности для q и v зависит от отношения между постоянной Планка и массой т. Более того, для макроскопических объектов h будет незначительной, следовательно, Δq и Δρ тоже могут иметь малые значения. Таким образом, создается впечатление, что мы можем определить результат с желаемой точностью. Но с того момента как масса и размер приближаются к постоянной Планка, неопределенности начинают выходить на первый план. Чтобы доказать это, применим отношения неопределенности к трем различным объектам.
1. Автомобиль. Примем его массу примерно равной одной тонне:
Предположим, что автомобиль перемещается со скоростью 100 км/час (около 30 м/сек):
Разница между размером машины, который измеряется в метрах, и неопределенностью положения равна единице с 39 нулями перед ней. Невообразимо мало.
2. Пчела массой ОД грамма:
Это насекомое может перемещаться с максимальной скоростью 7 м/с:
Для пчелы длиной несколько сантиметров масштаб разницы между неопределенностью ее положения и размером — 10~30. Это очень мало.
3. Электрон массой около 9,11 х 10-31 кг:
Присвоим электрону среднюю скорость 10 6 м/сек, или примерно 1% от скорости света:
Радиус орбиты электрона водорода в фундаментальном состоянии (модель Бора), как правило, является величиной, лежащей в основе модели атома. Как мы уже увидели, радиус соответствует волновой функции Шрёдингера для той же энергии. Его значение r = 5,29 х 10-11 метров. Таким образом, в случае с электроном, неопределенность его положения — одного порядка с размером места, в котором он находится: невозможно его отследить.
Мы рассмотрели конкретный случай, но подобная неопределенность может наблюдаться в любом экспериментальном контексте. Физики обозначают степень неопределенности измерения с помощью символа Δ. Таким образом, Δx = 0 означает, что пространственная координатах частицы может иметь лишь одно значение, то есть положение частицы четко зафиксировано. Однако Δx = 5 означает, что частица может находиться где угодно в радиусе 5 метров. Гейзенберг не был удовлетворен изучением неопределенности и определил ее границы при помощи постоянной Планка:
где q означает положение частицы, а р — ее импульс. Речь идет о принципе неопределенности, в котором объединены две различные физики, и наше знание об одной обнаруживается через информированность о другой.
Заразительность неопределенности
Помимо импульса и положения, Гейзенберг присвоил свое соотношение неопределенности другим парам сопряженных величин, произведение которых измеряется в тех же единицах, что и действие, то есть, подобно постоянной Планка, определяется как произведение энергии на время:
М, L и Т— фундаментальные физические величины (масса, длина и время). Считается, что произведение времени на энергию выражается в тех же единицах, что и произведение длины на импульс, а также постоянная Планка:
Гейзенберг сделал следующий вывод: «Чем точнее определено положение, тем меньше мы можем сказать в этот момент об импульсе, и наоборот». Предложенное им уравнение позволяет играть с этими нечеткостями. Как только какое-либо значение присваивается Δq, Δр вынуждено соответствовать условию:
Когда Δq стремится к нулю, знаменательочень быстро уменьшается, что устремляет Δр в бесконечность. Знать точное положение — игнорировать все, что касается импульса. На макроскопическом уровне, где h невозможно обнаружить, уравнение вводит нас в привычную ситуацию, когда q и р определены одновременно с желаемой точностью:
h → 0; Δq • Δp => 0; сравнимо с Δq - Δр - 0.
Принцип неопределенности Гейзенберга работает как качели, на которых то взмывают вверх, то опускаются «ниже уровня радара» волновые и корпускулярные свойства квантовых сущностей. Чем сильнее Aq уменьшается, тем лучше мы можем наблюдать частицы. Напротив, уменьшение р отправляет нас к волне, положение которой не может быть определено, но ее скорость v — четко определена (см. рисунок). Таким образом, каждый из элементов квантового мира меняется исходя из того, откуда на него устремлен взгляд наблюдателя.
Некоторые физики решили, что принцип неопределенности ставит под сомнение их квалификацию экспериментаторов, и принялись ставить опыты, определяющие положение и импульс, нарушая при этом установленные ограничения. Выдвинул свои аргументы против такого субъективного аспекта квантовой теории и Эйнштейн.
Однако все возражения потерпели неудачу. Чтобы вычислить траекторию объекта, необходимо знать всего лишь две его характеристики: положение в определенный момент и импульс, указывающий направление, в котором объект перемещается. Отношения неопределенностей не связаны с траекториями и, таким образом, помогают воплотить давнюю мечту Гейзенберга, которая появилась у него еще на Гельголанде. Тогда физик предупреждал: «Я все силы отдам уничтожению понятия орбиты». Такая решимость пугала Эйнштейна, общая теория относительности которого основывалась на расчете траекторий в пространстве, в четырех измерениях. Но идеи Гейзенберга угрожали не только траекториям. В своей статье от 1927 года ученый пришел к выводу: «На самом деле, однако, в жесткой формулировке закона причинности, гласящей: «Если мы точно знаем настоящее, мы можем вычислить будущее», ложной является не вторая часть, а предпосылка. Мы принципиально не можем узнать настоящее во всех деталях». Это незнание подрывает нашу способность к предвидению. Разрыв связи между настоящим и ближайшим будущем, вычисленным благодаря знанию и положения, и импульса, повлек крах классической физики. Конечно, эта невозможность существовала в науке и ранее. Она ощущалась во всех теориях, касавшихся как атомов и молекул, так и определения положения и импульса мириада классических объектов. Однако этот провал закона причинности связан с человеческим несовершенством, а не с действием объективного природного механизма. Отношения неопределенностей кроются в самых дальних уголках атомной физики и немного напоминают алеф Борхеса: они одновременно и отражение мира, и его центр, они облегчают интуитивное понимание самых разных ситуаций. Если электрон сталкивается с ядром, его положение известно, однако в связи с этим он приобретает огромное ускорение и, следовательно, тут же отдаляется от ядра. Ограничения на скорость накладывает только теория относительности. Если средняя скорость равна 1% скорости света, то отношения Гейзенберга предписывают электрону пространственную неопределенность, равную размеру детской игровой площадки. Именно таким образом неопределенность заботится о равновесии материи.
Глава 4 Таинственный кот
Операционные основы квантовой механики были представлены в 1920-х годах. Век спустя полемика о ее смысле все еще не утихла. Шрёдингер стал одним из первых, кто попытался объяснить абсурдные аспекты этой теории. Для этого он предложил мысленный эксперимент, в котором кот был приговорен к самой парадоксальной из смертей. Так родился один из символов физики — кот Шрёдингера. Австрия, встретившая Эрвина и Аннемари, очень отличалась от той страны, которую они покинули в 1920-х годах. Грац превратился в рассадник нацистов, и Шрёдингер каждый день наблюдал такие же сцены, как и те, которые немногим ранее приводили его в ужас в Берлине. В 1933 году в республике сменилась власть, и к прибытию Шрёдингеров здесь уже был установлен тоталитарный фашистский режим. Первое время Эрвину и Аннемари удалось укрыться от окружающего мира, посвятив себя устройству семейного гнезда. Шрёдингер начал перепланировку и переделал второй этаж их нового жилья в квартиру, где устроились Рут и Хильда, тогда как Артур Марх оставался в Инсбруке. Удивительно, но такая совместная жизнь шла только на пользу отношениям между Эрвином и Аннемари, которая обожала малышку. Однако вскоре идиллию смел ураган. В марте 1938 года, вследствие борьбы между Италией и Германией, Австрия уступила давлению Адольфа Гитлера и была присоединена к Третьему рейху. Толпы людей с энтузиазмом скандировали лозунг: «Одна нация — одно государство». Антисемиты сразу же начали совершать акты вандализма. Писатель Карл Цукмайер, сценарист фильма «Голубой ангел» (1930), присутствовал при том, что он назвал открытием «врат ада». Евреи были ограблены, уволены, публично унижены, ущемлены в правах. В это же время Ганс Тирринг был лишен поста директора Института теоретической физики при Венском университете. Скорость происходящего ошеломила Шрё- дингера, и он заставил себя сделать несколько па в дипломатическом вальсе. Ученый выразил свое согласие с националистической доктриной в письме под названием Confession аи Fuhrer {«Признание фюрера»), опубликованном в газетах, и это повредило его репутации, особенно среди изгнанников. Сейчас трудно сказать, какими были его истинные намерения в той взрывоопасной ситуации. Послание Шрёдингера было прочитано, его дом окружила толпа, ему задавали неприятные вопросы. Гибель была совсем рядом. Друзья ученого посчитали, что письмо он написал чуть ли не под диктовку с пистолетом у виска. Но более вероятно, что ученый в это время просто решил пойти по тому же пути, что и Гейзенберг, пытавшийся ужиться с нацистским режимом. Эту версию Шрёдингер сам представил позже Эйнштейну: «В министерстве я сказал начальнику департамента: «Если вы мне дадите ружье, я буду счастлив защищаться, но не оставляйте меня заложником в нацистском Гарце». Представьте, что я почувствовал, едва прошло несколько недель после погрома, когда увидел подпись этого человека на приказах нового министра. Я надеюсь, что вы не слишком строго осудили мое последующее заявление, хотя оно было очевидно подлым. Я хотел сохранить свою свободу... А это было невозможно без компромисса». Конечно, нацисты не поверили в искренность раскаяния Шрёдингера. В Берлине составили докладную записку, в которой были перечислены все его ужасные прегрешения перед новой властью. Во-первых, в 1933 году ученый покинул Германию по «политическим причинам», во-вторых, в Граце он проявил себя как «фанатичный враг Новой Германии и национал-социализма», в-третьих — продолжал контактировать с изгнанниками. Шрёдингеру сообщили 26 августа, что он уволен из университета Граца в связи с «политической неблагонадежностью». К счастью, в это же время его пригласили в Институт высших исследований, который как раз создавался в Дублине. Это предложение ему было передано по цепочке, которая начиналась в Дублине, а заканчивалась матерью Аннемари. Эта пожилая уже женщина не доверяла своей памяти, поэтому она была единственным человеком, кто сохранил часть сообщения на клочке бумаги. Эрвин и Аннемари прочитали записку три раза, а потом сожгли ее. Они составили список самых необходимых вещей и кое-как уместили их в трех чемоданах. Чтобы не привлекать внимания, Шрёдингеры купили два билета туда и обратно до Рима. Обратными билетами они так и не воспользовались.В Германии если что-то не разрешено, это запрещено. В Англии если что-то не запрещено, это разрешено. В Австрии и Ирландии — запрещено это или нет — люди делают то, что хотят. Шрёдингер об атмосфере толерантности, которая царила в Ирландии
Вот уже семь долгих лет Шрёдингер наслаждался спокойствием в Дублине: «То, что в 53 года иностранное правительство позволяет мне вновь почувствовать себя в полной безопасности, наполняет меня... вечной признательностью к этой стране». Корреспондент журнала Time так описал эту идиллию: «Его манера говорить, пленительная и вдохновляющая, и его особая улыбка неотразимы. Жители Дублина гордятся тем, что живут рядом с лауреатом Нобелевской премии». Таким образом, Шрёдингер чувствовал себя в новом пристанище довольно уютно. Ирландия была нейтральной страной, так что раскаты Второй мировой войны сюда почти не доносились. Шрёдингер пользовался заслуженным авторитетом в недавно открытом институте. Благодаря его способности привлекать к себе людей вскоре в Дублин на научные встречи стали приезжать Эддингтон, Дирак, Паули и Борн. Жители Дублина привыкли к тому, что ученый каждый день независимо от погоды — и в дождь, и в солнце — совершал по городу велосипедные прогулки. Его дом стал центром бурлящей общественной жизни. Шрёдингер с удовольствием выступал на открытых конференциях, запланированных в Тринити-колледже. В феврале 1943 года он без подготовки показал три эксперимента, пояснявших его оригинальное видение, основанное на законах физики и материальных принципах. Интерес к конференциям превзошел все предположения, и от него ждали новых выступлений. Через год ученый объединил все свои доклады в сборнике под названием «Что такое жизнь?», в котором выдвинул ряд фундаментальных идей. Вообще деятельность Шрёдингера на стыке физики и биологии вызывала немалый интерес, тем более что ему удалось предвосхитить некоторые важные направления биологии. В это время уже существовало представление о том, что гены человека имеют вид больших молекул. Шрёдингер предположил, что молекула, несущая наследственную информацию, должна иметь структуру, характеризующуюся некоторой закономерностью, но без точных повторений — ученый назвал эту структуру апериодическим кристаллом. Повторяющиеся структуры в такой наследственной молекуле напоминают своего рода алфавит — код, который несет генетическую информацию. В целом термин «апериодический кристалл» вполне можно принять в качестве описания двойной спирали. Конфигурация молекулы включала не только сами инструкции для организма, программу жизни, но и способствовала исполнению этой программы: «Это одновременно и проект архитектора, и рабочие руки строителя». Честь открытия структуры ДНК принадлежит Розалинде Франклин, Морису Уилкинсу, Джеймсу Уотсону и Фрэнсису Крику. Половина этих ученых были физиками, откликнувшимися на призыв биологов после прочтения книги Шрёдингера. Джеймс Уотсон планировал посвятить себя орнитологии, однако в его руки попал экземпляр сборника «Что такое жизнь?». «Мне понравилась идея, согласно которой жизнь могла продолжаться благодаря учебнику с инструкциями, записанными в виде секретного кода». В Дублине Шрёдингер посвятил себя еще одной большой научной работе, связанной с объединением гравитации и электромагнетизма. Проект отнял восемь лет, с 1943 по 1951 год. Отправной точкой была основная теория относительности Эйнштейна. Идея работы состояла в том, чтобы геометризовать электрические и магнитные поля, что было возможным с математической точки зрения. Однако все сформулированные в этой сфере теории либо не описывали природу, либо не соответствовали наблюдаемым феноменам. Эйнштейн начиная с 1920-х годов вел аналогичный поиск, так что они со Шрёдингером обсуждали свои достижения в активной переписке. Оба ученых в значительной степени отказались принимать во внимание 20-летний прогресс в ядерной физике, который привел к открытию новых фундаментальных взаимодействий, сильных и слабых.
В своем возрасте я уже отбросил всякую надежду на то, чтобы заложить новый краеугольный камень в здание науки. Речь Шрёдингера о его намерении объединить гравитацию и электромагнетизм
Осторожность ученых, безусловно, была пропорциональна степени их упорства, но Шрёдингер, который приближался к 60-летию, грешил избытком уверенности. Он пригласил прессу и объявил о создании единой теории, в которой релятивизм Эйнштейна сводился к «простому частному случаю». Он осознавал, как высоки ставки: «Если я ошибся, то стану посмешищем». Эйнштейн был ошеломлен новостью. Когда редактор научной колонки New York Times спросил его мнение, он резко раскритиковал Шрёдингера. В их отношениях наступило внезапное охлаждение. Все их прежнее научное сотрудничество превратилось в дым и развеялось на ветру, как, впрочем, и их надежды на единую теорию. Эта цель оказалась не по силам не только Эйнштейну и Шрёдингеру, но и другим ученым, которые пришли им на смену, захваченные тем же желанием объединить все известные теории в одну. В результате этой ссоры Шрёдингер решил осуществить свою давнюю мечту и посвятить больше времени двум своим еще юношеским увлечениям — философии и поэзии. Шрёдингер не страдал от отсутствия источников поэтического вдохновения, так как, несмотря на возраст, его чувственный пыл не угас. Ученый снял квартиру в центре города для встреч — с актрисой и активистской Шейлой Мэй, а также неизвестной молодой ирландкой. Через положенное время у него родились еще две внебрачные дочери. Хильда решила, что пришло время вернуться в Инсбрук. Шрёдингер провел под небом Дублина около 17 лет. Наконец, в 1956 году пришло время помириться с Австрией. Возвращение ученого сопровождалось всенародными торжествами. Ученому предоставили персональную должность профессора теоретической физики в Венском университете. Наконец-то он мог насладиться почетом и уважением на родине, но губительное время потихоньку делало свое дело. В легких ученого прослушивались хрипы, Шрёдингер страдал от одышки и аритмии, и обследование показало, что в его альвеолах затаился застарелый туберкулез, подхваченный после войны. Болезнь, усугубленная постоянным курением трубки, ждала, когда ученый постареет и уже не сможет сопротивляться. На протяжении совместной жизни Эрвин и Аннемари повстречали на своем пути многих людей, но к ее концу оказалось, что главными действующими лицами друг для друга были они сами. Теперь, расставаясь даже ненадолго, супруги обменивались любовными письмами, которые были очень похожи на те, что они писали в молодости, в самом начале отношений. Шрёдингер — любитель парадоксов, авантюрист и консерватор, завершил карьеру Дон Жуана ухаживаниями за собственной женой. В первую неделю января 1961 года его сердце и его легкие начали отказывать. Шрёдингер не хотел умирать в больнице. Он говорил: «Я родился в своем доме и там умру, даже если от этого моя жизнь будет короче». Его последние слова были обращены к супруге: «Аннемари, любовь моя, останься со мной, пока я не умру».
На краю реальности
Мы проделали долгий путь и за это время отвергли некоторые модели атома (представляющие собой Солнечную систему в миниатюре), чтобы заменить их более совершенными (электронные облака и орбитали). Нам осталось преодолеть последний этап. «Видя» электроны, которые занимали орбитали s, р или d, мы предполагаем, что знаем заранее, каково энергетическое состояние атома. Речь идет о мысленном построении, ведь в лаборатории перед началом опыта исследователь не знает, возбужден электрон или находится в своем фундаментальном состоянии. Возьмем атом водорода с одиноким электроном. В его распоряжении находятся все орбитали, как если бы он был постояльцем отеля с бесконечным множеством свободных номеров. Волновая функция скажет нам о вероятности зафиксировать частицу в какой-то точке пространства, в фундаментальном состоянии и с минимальной энергией Е1; волновая функция ψ2 покажет вероятность найти его в состоянии энергии Е2 и так далее. Но прежде чем зафиксировать излучаемую им энергию и переход между уровнями, как мы узнаем, в какую энергетическую комнату он вернулся? Вероятность того, что он находится в какой-то точке (какой бы ни была его энергия), можно представить более сложной волновой функцией, получаемой при сложении функций, описывающих каждое отдельное состояние. С технической точки зрения сложение функций Ψа и Vb образует новую функцию, которая также является решением уравнения Шрёдингера. Как следствие, в случае с атомом водорода мы можем включить все состояния: Ψ = a1Ψ1 + а2Ψ2 + а3Ψ3 + а4Ψ4 + а5Ψ5 + ... +аnΨn Функция ψ, которую мы получили, нанизывая друг на друга решения для каждого конкретного уровня, является решением уравнения Шрёдингера, которое предполагает все энергетические состояния. Чему соответствует это сложение в физическом смысле? Это электрон перед измерением; в этот момент он характеризуется таким свойством, как наложение состояний (суперпозиция). По отношению к различным возможностям ψ всегда предпочитает соединительный союз «и» разъединительному союзу «или», таким образом, электрон одновременно находится во всех состояниях и ни в одном из них. Мы имеем дело с соединением в один момент времени всех возможных состояний. Шрёдингер говорил о функции ψ как о списке ожиданий. Функция показывает все возможные состояния и определяет, какова вероятность того, что при произведенном измерении каждое из них воплотится. Экспериментальный результат, полученный ученым, выражается в конкретном измерении, частном положении электрона, длине волны спектральной линии, определенной интенсивности. В принципе, никто не наблюдает за фантасмагорическим наложением состояний, поскольку не существует множества одновременно дрожащих точек на экране детектора, как и различных размытых линий. Закономерно возникает вопрос: что именно определяет состояние, которое может быть материализовано при измерении? Чтобы отделить список ожиданий, предлагаемый функцией ψ для каждого наблюдаемого объекта и полученного конечного результата, была введена концепция коллапса волновой функции. Речь идет о мгновенной, если так можно выразиться, кристаллизации функции, когда исчезают все возможности списка за исключением одной (откуда термин «коллапс») — той, которая и регистрируется. Уравнение Шрёдингера не говорит нам, когда происходит это мгновенное изменение, и не описывает его. Конечное состояние должно вполне соответствовать естественному положению вещей, поскольку решение в пользу одной из возможностей случайно принимает сама природа (см. рисунок).
Коллапс волновой функции ставит очень много вопросов, для разрешения которых предлагается исходить из противоположных положений. Довольно долго наиболее распространена была копенгагенская интерпретация, основные черты которой были сформированы в ходе дискуссии между Гейзенбергом и Бором, хотя ученые так и не пришли к полному согласию. В общих чертах эта интерпретация защищает прагматическую точку зрения, лишенную излишнего философствования. Она довольствуется тем фактом, что теория работает, потому что осуществляются все ее прогнозы. Поскольку квантовая механика работает и позволяет нам конструировать микросхемы и сверхпроводники, зачем требовать от нее обязательного соответствия рациональным ожиданиям, следующим из нашего видения макроскопического мира? Гейзенберг предостерегал: «Если несмотря ни на что мы хотим провести математические расчеты для наглядного описания феноменов, необходимо ограничиться неполными моделями, например моделями волны или частицы». Копенгагенская интерпретация десятилетиями использовалась при преподавании квантовой механики, акцент в ней был сделан на овладении уравнениями, а все метафизические рассуждения учебники по возможности оставляли в стороне.
Наблюдения нарушают не только то, что было измерено, но и то, что они производят. Замечание немецкого физика Паскуаля Йордана о процессе измерения в квантовой механике
Теория заканчивается в тот момент, когда она представляет список ожиданий; на этом описание завершается. Использование нематематических доводов для объяснения того, что не охватывают уравнения, не помогает. Перед измерением есть только функция ψ, «сущность», принадлежащая абстрактному, но не физическому пространству. По завершении измерений из мира абстракций внезапно материализуются конкретные значения частоты v или положения х . Известные свойства какой-либо частицы могут быть лишь вероятностным наброском, не имеющим никакого смысла до того момента, пока кто-то не решит этот смысл определить. Как говорил физик Джон Арчибальд Уилер, один из великих теоретиков второй половины XX века, «никакой квантовый феномен не является феноменом, пока он не является наблюдаемым (регистрируемым) феноменом». Мы понимаем, что наблюдение вызывает коллапс волновой функции вокруг определенного значения, но в результате в определенной точке пространства и в определенный момент времени появляется электрон. Копенгагенская интерпретация требует примирения с ограниченностью наших знаний. Все объекты из нашего макроскопического окружения имеют четкую форму и свойства, но этого нельзя требовать от атомных явлений. Мозг на основе наших ощущений создает реальность, но мы не видим, не чувствуем протоны и электроны, мы не можем к ним прикоснуться. Эти частицы не могут стать частью обычной реальности, так как нам не хватает для этого наглядных представлений. Нужно признать, что говоря о частице (точка, не имеющая размеров и обладающая такими свойствами, как электрический заряд или масса), мы будем делать исключительно умозрительные выводы, и это отличается от ситуации, когда объектом нашего внимания является, например, обычный камень. Физика пытается предложить связное описание, без логических противоречий, для широкого диапазона результатов всех известных опытов. В ходе лабораторного опыта нельзя увидеть идеальные мерцающие точки, так что нам приходится довольствоваться мысленным построением, при котором мы на математическом языке описываем фундаментальные концепции. Однако рано или поздно наступает момент, когда изображение концептуального и воображаемого хаоса, который обрел формы макроскопического мира, перестает быть адекватным. Конструкции, используемые для описания атомов, слишком далеки от чувственного опыта. При этом они могут быть вполне обоснованы теоретически и отвечать математическим моделям. Нам нужно ограничиться расчетами и рассматривать любой поиск смысла или любой спор, касающийся истинного понимания реальности, в качестве интеллектуальной игры — насколько увлекательной, настолько и бесплодной. В ортодоксальной версии квантовой механики ничто не угрожает ее тайнам — они остаются во власти микроскопической области, от которой нас отделяет непреодолимый барьер. И лишь с увеличением размера объектов вновь начинают работать классические законы.
Развитие волновой функции до ее выравнивания при измерении.
Шрёдингера эта интерпретация не удовлетворяла. Эйнштейн тоже был от нее не в восторге: «Думать так логически допустимо, но это настолько противоречит моему научному инстинкту, что я не могу отказаться от поисков более полной концепции». Многие физики предпочли не заострять внимание на существующей пропасти между выбором возможностей, который отображала волновая функция, не приближаясь ни к одной из них, и конкретным вариантом, материализующимся в момент измерения. Однако в этом случае в состав теории должен был войти и коллапс функции. Само уравнение Шрёдингера необходимо было изменить таким образом, чтобы оно описывало динамику волновой функции во время всего процесса измерения. Чтобы описывать систему в любой момент времени, функция ψ должна очень быстро меняться, пока она не приведет к нужному результату (см. рисунок). Существующее уравнение для этого не подходило — требовалось новое, а его никто не смог предложить. Шрёдингер отметил странную природу «квантовой запутанности», характерной для квантовых состояний, являющихся суперпозицией состояний двух систем. Гейзенберг уже давно утверждал, что поведение электронов и атомов не имеет ничего общего с нашим повседневным опытом. И это заявление сразу делало все вокруг зыбким и призрачным. Как же так? Ведь наше тело состоит из органов, органы — из тканей, ткани — из клеток, клетки — из молекул, молекулы — из атомов, атомы — из ядер и электронов... Классический и квантовый миры едины и в то же время работают по разным законам? Теория, которая не может представить привычные для нас объекты с перспективы элементарной частицы, априори является неполной. Полная теория описывает мир с точки зрения как классической механики, так и странных квантовых переходов. Чтобы продемонстрировать несовершенство квантовой механики при переходе от субатомных систем к макроскопическим, Эрвин Шрёдингер взял кота и поместил его в крайне рискованную ситуацию.
Кот живой, кот мертвый
Шрёдингер представил обществу знаменитый мысленный эксперимент в длинной статье, опубликованной в 1935 году в журнале Die Naturwissenschaften {«Естественные науки») под названием «Текущая ситуация в квантовой механике». Ученый тщательно изложил теорию, используя живой и непринужденный стиль. В своих рассуждениях он обратил внимание на одну из характеристик квантовой теории, беспокоившую его больше всего, и представил ее в ироничной ситуации, в которой квантовые эффекты должны были проявляться в макроскопических декорациях. В результате мысленного эксперимента он смог сформулировать собственный список вероятностей, и при первом же взгляде на него несовершенство теории становилось очевидным. Предупреждаем: эксперимент придется не по вкусу защитникам животных. «Некий кот заперт в стальной камере вместе со следующей адской машиной (которая должна быть защищена от прямого вмешательства кота): внутри счетчика Гейгера находится крохотное количество радиоактивного вещества, столь небольшое, что в течение часа может распасться только один атом, но с такой же вероятностью может и не распасться; если это случится, считывающая трубка разряжается и срабатывает реле, спускающее молот, который разбивает колбочку с синильной кислотой. Если на час предоставить всю эту систему самой себе, то можно сказать, что кот будет жив по истечении этого времени, коль скоро распада атома не произойдет. Первый же распад атома отравил бы кота. Пси-функция системы в целом будет выражать это, смешивая в себе или размазывая живого и мертвого кота (простите за выражение) в равных долях».
Кот помещен в ловушку квантовой неопределенности. После того как стальная камера заперта, функция ψ изменяется, объединяя в себе все возможности. Она не склоняется ни к какой из альтернатив: и живой, и мертвый кот существуют в вероятностном мире.
Длина волны квантового участника опыта — ядра радиоактивного атома, который может распасться или не распасться, — уносит кота в свой абстрактный мир. До того как мы совершим измерение (в нашем случае — откроем камеру и проверим, что происходит с котом), в суперпозиции сочетаются два варианта (см. рисунок). Кот одновременно мертв и жив. Эйнштейн поддержал Шрёдингера: «Функция ψ, в которой кот скорее жив, чем мертв, не может считаться аутентичным описанием состояния».
Разделяй и властвуй
Многомировая интерпретация считается «самым оригинальным описанием реальности из когда-либо предложенных». Ее сформулировал в 1954 году американский физик Хью Эверетт. Позднее он развил эту тему в своей диссертации на соискание докторской степени в Принстоне. В этом представлении волновая функция никогда не коллапсирует, поскольку нет необходимости в выборе одного из пунктов списка. Все эти пункты существуют одновременно, каждый в своем мире. В одном мире кот жив, а в другом его отравила синильная кислота. При осуществлении каждого возможного выбора реальность меняется. Система с бесконечным количеством состояний влечет существование бесконечного количества миров в одной Вселенной, и в каждом из них существует наблюдатель и один из вариантов. Согласитесь, эта идея одновременно и захватывает, и пугает. Джон Уилер, американский физик-теоретик и один из приверженцев многомировой интерпретации, в конце концов отказался от нее ввиду повышенной «метафизической тяжеловесности». Летом 1952 года Шрёдингер провел семинар в Дублине, во время которого он произнес слова, казалось, предвосхитившие формулировку Эверетта: «Часто теоретики квантовой механики ссылаются на вероятность того, что тот или иной вариант (...) существует среди множества альтернатив. Идея о том, что варианты не будут альтернативами, но будут выступать одновременно, кажется им бессмысленной, просто-напросто невозможной». Шрёдингер не тратил время на то чтобы развить это положение, которое он, скорее всего, выдвинул для того, чтобы прощупать научную ситуацию. Собственно развитие этой мысли ставит новые вопросы, в частности с помощью каких опытов мы можем доказать существование — или отсутствие — лабиринта бесконечных вселенных, независимых от нашей?Шрёдингер предложил этот эксперимент, чтобы выявить недостатки установившейся версии квантовой механики. Он имел четкую цель, но парадокс получил неожиданное разрешение. Микроскопическое не может быть отделено от макроскопического, как если бы они были разделены непроницаемым барьером. Эксперимент не противоречит квантовой суперпозиции; он просто вводит эту суперпозицию в нашу жизнь. В лабораториях были реализованы десятки экспериментов, напоминающих о коте Шрёдингера (ни одно животное при этом не пострадало). В них участвовали серии все более сложных структур в состоянии суперпозиции. В 1999 году это были молекулы 60 атомов углерода; в следующем году — токи в сверхпроводниках, наконец в 2011 году — молекулы, состоящие из 430 атомов, большие, чем молекула инсулина. В 2010 году созданный человеком механизм впервые ослушался классических законов, чтобы подчиниться квантовым: метроном волосяной толщины (таким образом, видимый) оказался способен колебаться одновременно с большей и меньшей частотой. Эксперимент проходил при температуре, близкой к абсолютному нулю. В 2009 году немецко-испанская группа ученых предложила провести опыт, максимально приближенный к пресловутому коту, используя вместо теплокровного животного вирус табачной мозаики. Конечно, в этом кто-то увидит ересь, но Шрёдингер оценил бы этот союз биологии и физики.
Когда я слышу про кота Шрёдингера, моя рука тянется за ружьем! Английский физик Стивен Хокинг
Освоение макроскопических суперпозиций открывает путь к созданию квантовых компьютеров. Современные компьютеры работают с арифметикой нулей и единиц, а их квантовый эквивалент сможет работать с суперпозицией 0 и 1, то есть одновременно с двумя состояниями. Если традиционный компьютер выполняет операции последовательно, используя результаты предыдущих вычислений, выраженные в виде 0 или 1, то квантовое устройство сможет одновременно обрабатывать команды, соответствующие двум альтернативам. Эта способность скачкообразно увеличивает вычислительные возможности.
РИС. 1
РИС. 2
Выход из лабиринта парадокса Шрёдингера и решение проблем квантовой интерпретации сегодня, кажется, можно найти исходя из принципа декогеренции, сформулированной в 1970 году немецким физиком Хайнцем-Дитером Це. Она говорит нам, что состояния суперпозиции допустимы, но также требуют крайней деликатности. Они легко могут быть разрушены при взаимодействии с окружающим миром — как карточный домик, стоящий напротив открытого окна. Излучение или поглощение фотона, столкновения частиц уничтожают спектры волновой функции и ускоряют ее необратимое изменение к внешне классическому состоянию. Поэтому основная странность квантового мира связана не с микромасштабами, а с тем, что для его манифестаций необходима крайняя степень уединенности. В обычной жизни мы не наблюдаем суперпозиции, потому что сама невозможность изолировать макроскопический объект разрушает их. Декогеренция, описанная на основе уравнения Шрёдингера, показывает, как классический мир внезапно проявляется из квантового через взаимодействие с окружающей средой. Так что не существует барьера между ньютоновским наблюдателем и пространством атома. Волновая функция объединяет нас всех. Кот Шрёдингера, хоть он и заперт в стальной камере, ведет диалог с окружающим миром. Будучи теплокровным животным, он испускает инфракрасные лучи, молекулы воздуха сталкиваются с его усами, наша планета оказывает на него электромагнитное воздействие, масса кота притягивает Землю, а на него самого действует сила притяжения Земли... Феномен декорегенции смогли обнаружить в лаборатории при работе с фуллеренами (рисунок 1) — сложными молекулами, основа которых, состоящая из 60 атомов углерода, напоминает футбольный мяч. Их состояние суперпозиции исчезает, как только они высвобождают часть тепловой энергии, излучая фотоны.
Квантовый след
«Запутанность» — термин, который Шрёдингер использовал в статье от 1935 года «Текущая ситуация в квантовой механике», — сегодня имеет другую трактовку, чем при своем появлении. Шрёдингер считал запутанность не новой характеристикой квантовой механики, а элементом, который помогает ее понять с помощью привычного нам образа мыслей. В самой простой версии запутанности две частицы А и В являются квантовыми близнецами и находятся в одинаковом состоянии до того, как разнестись друг от друга на произвольно большое расстояние таким образом, чтобы они не могли взаимодействовать (рисунок 2). Несмотря на удаленность друг от друга, обе частицы способны реагировать на измерение одной из них, демонстрируя прекрасную согласованность. Вначале наблюдаемое свойство не измерено ни для A, ни для В. После разнесения частиц в пространстве произведем измерение для A, результат которого, естественно, будет случайным. Запутанность предполагает, что это измерение сразу же станет справедливым и для В, хотя эта частица измерениям не подвергалась. Например, если мы определяем импульс A, то сразу же узнаем его и для В. После завершения измерения запутанность исчезает. Эйнштейн называл этот эффект «жутким дальнодействием», и он был для него одной из главных причин отклонения принятой интерпретации квантовой механики.
Хотя запутанность связывает частицы, скорость которых выше скорости света, скорость передачи информации между двумя исследователями подчиняется релятивистским ограничениям.
Если второй исследователь в это же время фиксирует положение В, то может сложиться впечатление, что принцип неопределенности Гейзенберга нарушается. Так, теперь наблюдателю известны и положение частицы В (благодаря прямому измерению), и ее импульс (благодаря измерению у частицы- близнеца A). Однако в действительности принцип неопределенности остается незыблем, поскольку он устанавливает, что две характеристики В — положение и импульс — не могут быть измерены в одно и то же время. Первый наблюдатель, измеряя импульс А, знает, каким будет этот импульс для В, но ничего не знает о положении В. И наоборот, когда второй наблюдатель фиксирует положение В, ему неизвестен результат измерения импульса А. Он узнает его лишь потом, когда коллега сообщит его ему Неопределенность выступает как функция ожидания информации. После измерений запутанность исчезает, и определить траекторию частиц становится невозможным (см. рисунок). До измерения импульса А исследователь не знает, каким будет результат, поэтому он не сможет воспользоваться запутанностью, чтобы передать информацию быстрей скорости света. И даже если он мгновенно узнает импульс В, он сможет сообщить его второму исследователю только через условный коммуникационный канал, соблюдая лимит скорости с. Еще один австрийский физик из Венского университета, Антон Цайлингер, на основании шрёдингеровской запутанности провел ряд крайне любопытных опытов в области квантовой информации. Он начал с трех запутанных фотонов, затем перешел к четырем. Со временем ученый установил рекордную пространственную разнесенность запутанных частиц, разместив их между островами Лас-Пальмас и Тенерифе (Канарские острова) на расстоянии 144 километра. Европейское космическое агентство приняло на рассмотрение его новый проект: еще более удалить запутанные частицы друг от друга, увеличивая дистанцию до 1500 километров. Цайлингер был одним из авторов вышеупомянутой идеи о тепловом нарушении суперпозиции для фуллеренов. Его исследования легли в основу технологии, связанной с использованием квантовых особенностей, в сфере информатики и криптографии. Также этот физик впервые осуществил квантовую телепортацию — метод, использующий запутанность, чтобы мгновенно передавать характеристики одной частицы другой. Принимая во внимание, что в атомной физике главное — сохранение свойств атома, а не его структуры, работа Цайлингера очень подстегивает воображение и сулит поистине фантастические перспективы. Квантовые частицы вторгаются в наш уютный макромир не только под контролем ученых в лабораториях. Чем больше света проливается на квантовую теорию, тем больше вопросов она вызывает: Вселенная больше не соответствует классическим правилам, как мы считали раньше. Квантовое объяснение некоторых феноменов, таких привычных, как фотосинтез или чувствительность некоторых птиц к магнитному полю Земли, в конечном итоге может использоваться для проверки традиционных инструментов. Из этого можно сделать вывод, что два главных противника интуитивного прочтения квантовой механики, Шрёдингер и Эйнштейн, очень помогли усовершенствованию теории. Ученые сконцентрировали внимание на самых уязвимых ее точках и с помощью парадоксов и мыслительных экспериментов помогли структурировать многие неясности. Их вклад определяется не только собственно открытиями, но и тем фактом, что даже встречая сопротивление коллег, они в интеллектуальной дискуссии достаточно глубоко прорабатывали свои идеи. Ученые направляли усилия на то, чтобы найти ответы на стоящие перед ними вопросы, но в результате существенно укрепили структуру, которую пытались подорвать. Полемика о смысле волновой теории так широка, что размышления о ней далеки от своего завершения. Мы сознательно оставляли в стороне такой фактор, как влияние сознания на процесс измерения, хотя, возможно, для некоторых читателей эта сторона была бы крайне любопытной. Однако философские аспекты очень важны для некоторых физиков и не играют никакой роли для других. Ученые пытаются преодолеть разногласия, опираясь на экспериментальную почву, но в интерпретации квантовой механики важнейшую роль играет личный взгляд. Хотя мы в своей книге всеми силами стремились сохранять объективность.
Список рекомендуемой литературы
Bernstein, J., Perfiles cuanticos, Madrid, McGraw-Hill, 1991. Gamow, G., El breviario delsenor Tompkins, Mexico, Fondo de Cultura Economica, 1985. —: Biografia de la fisica, Madrid, Alianza Editorial, 2007. Gribbin, J., En busca del gato de Schrodinger, Barcelona, Salvat, 1994. Heisenberg, W., La parte у el todo: Conversando en tomo a la Fisica Atomica, Castellon, Ellago Ediciones, 2004. Kragh, H., Generaciones cudnticas: una historia de la fisica en el siglo XX, Madrid, Akal, 2007. Kuttner, F. y Rosenblum, B., El enigma cuantico, Barcelona, Tusquets, 2010. Moore, W., Erwin Schrodinger: una vida, Cambridge, Cambridge University Press, 1996. Navarro Faus, J., Schrodinger. Una ecuaciony ungato, Madrid, Nivola, 2009. Sanchez Ron, J. M., Historia de la fisica cuantica /, Barcelona, Critica, 2001. Schrodinger, E., Que es la vida?, Barcelona, Tusquets, 1983. —: Mi concepcion del mundo, Barcelona, Tusquets, 1988.Указатель
«К теории распределения энергии излучения нормального спектра» 34 «О квантовотеоретическом истолковании кинематических и механических соотношений» 108 «Текущая ситуация в квантовой механике» 13, 154,159 «Что такое жизнь?» 11,13,146 i (мнимое число) 117, 118 атом водорода 25, 59, 65,90,96, 113,114,119,122-124, 149 Бальмер, Джейкоб 60, 61, 64, 65, 67, 74 Бауэр Александр 17, 18, 52, 56 Эмили (Минни) 18, 47 Георгина 13, 17, 52, 56 Ханси 105 Берлин Академия наук университета 13, 102 Бертель, Аннемари 13, 45, 53-55, 74,100-105,143,145, 148 Бете, Ганс 93 Больцман, Людвиг 20-24, 26, 33, 36, 37, 44, 113 Бор, Нильс 10, 61-68, 74, 86, 89, 93,95,97,102,106,108,113, 114,116,119,130-133,137,151 Борн, Макс 10,12, 35, 91, 97,101, 102,103,106,110,112-114, 117-120, 128,129,132, 134,145 броуновское движение 9, 24 Веданта 8, 48 Вейль, Герман 74, 99, 104 Венский университет 13, 20, 148, 161 Виет, Франсуа 77 Вин, Вильгельм 32, 131-133 волновой пакет 92 газоразрядная лампа 58, 60, 64, 68 Гейзенберг, Вернер 10, 12, 13, 49, 96,97,101,106,108-110,112, 113,116,120, 129-134,137- 140,144,150,151,154,160,163 генетический код 11 Гершель, Уильям 27 Грильпарцер, Франц 19, 102 Дарвин, Чарльз 8, 19, 20 де Бройль, Луи 69, 70, 71, 88, 92, 128,129 Дебай, Петер 57, 72, 76 декогеренция 158-159 Джинс, Джеймс 65 Джозайя, Гиббс 23 Дирак, Поль 10, 12, 13, 94, 95,104, 145 длина волны 28-33, 41, 60, 64, 70, 71,73, 88,135,150 Дэвиссон, Клинтон 70, 71 запутанность 11, 13, 152, 158-161 Зоммерфельд, Арнольд 57, 66, 67, 68,99,101,102,106,124,131 импульс 69, 109, 113, 138-140, 158,160,161 интерпретация копенгагенская 129,150,152, 153 многомировая 156 интерференция 70, 72, 73, 92 конструктивная 72 деструктивная 72 Йордан, Паскуаль 10, 12,110,112, 151 Карно, Сади 23 квант 38, 40, 42 квантование 38, 39, 41, 62, 86, 89, 132 квантовое число 63, 67 квантовый компьютер 157 квантовый скачок 68 колеблющаяся струна 84, 87,95, 124 коллапс волновой функции 150 колледж св. Магдалины 13,104, 105,107 Кольрауш, Фридрих 53, 55 Комптон, Артур 41, 135 кот Шрёдингера, парадокс 11,13, 25, 141,154-159 Краусе, Фелиси 44 Крик, Фрэнсис 146 Ланжевен, Поль 69 Максвелл, Джеймс Клерк 15, 23, 24, 27,29, 35, 40,61,68 Марх Хильдегунда 104 Рут 104, 105, 143 матрица 112, 114, 115 Менделеев, Дмитрий 127 механика матричная 13, 111, 113, 119 волновая 9, 10, 13, 40, 68-71, 92,99,100, 101, 108,113, 118,130-133 квантовая 8-13, 20, 27, 34, 38, 49, 56, 77, 93,94, 97, 99, 106, 108,110,112,113,116, 128-131,133, 141,151,152, 154-156, 159,160,162 Мэй, Шейла 148 Ньютон, Исаак 8,10, 23, 27, 46, 67, 82,93,134,140 орбиталь 123-128, 149 относительности, теория 47, 57, 140, 147 Паули, Вольфганг 9, 10, 113, 116, 126, 131, 132, 134, 146 печь 32-36, 38, 39, 41, 58, 61, 63, 113 Планк, Макс 13, 22, 34-36, 38-41, 49, 56, 58,61,63, 64,71,73,96, 99-101,106, 112-114,128,132, 135, 136, 138 постоянная Планка 39, 41, 63, 112, 136, 138 принцип запрета 116, 126 производная 78-80, 88 пси (ψ) 76, 87-96, 102, 115, 117-119, 121-123, 128, 134, 149-151,153,155 (см. также волновая функция) Рид, Александр 70 Ридберга, постоянная 60, 64 состояние возбужденное 64 макроскопическое 20, 36 стационарное 62 спектральная линия 36, 61, 67,150 Стефан, Жозеф 8, 33 с уперпозиция 150, 155, 157 термодинамика 9,15, 20, 22-26, 29, 33-36 Тирринг, Ганс 43, 53, 105, 144 Томсон, Джордж 70 тонкая структура 66, 67 Уилкинс, Морис 146 Уилер, Джон Арчибальд 152, 156 университет Граца 13,105, 144 Уотсон, Джеймс 146 Упанишады 48 уравнение волновое 10, 49, 73, 74, 76, 82, 84,96,117, 120,133 Шрёдингера 9, 80, 87, 88, 90, 93,94, 97, ИЗ, 117,119,120, 123,124,149,150,153,159 дифференциальное 76, 80, 86, 88,93,130,134 фон Лауэ, Макс 57, 73 фотон 41, 62, 63, 65, 67, 68, 134- 136,157,159,161 Франклин, Розалинда 146 функция 34, 76-82, 86-91, 94-96, 117-124, 136, 137, 149-150, 155 волновая 92, 119-121, 123, 128, 129,134,137,149-151,153, 155-158 Хазенёрль, Фридрих 22, 48 Хансен, Ганс Мариус 61, 74 Цайлингер, Антон 161 Це, Хайнц-Дитер 158 Цюрихский университет 13, 57, 76 частота 29-31, 34-36, 38,42, 59, 63,64-67, 83,86,88,135,151 Шопенгауэр, Артур 8, 48, 53 Шрёдингер, Рудольф 13, 17, 44, 46, 52, 53 Эверетт, Хью 156 Эйнштейн, Альберт 9, 10, 20, 22, 24, 38, 39-42,46, 47, 49, 57,61, 67, 69, 70,95,96,101,102,113, 115,116,120,128,129,131,133, 134,139,140,144,147,153,155, 159,160,162 Экснер, Франц 22, 43, 53 электромагнитное излучение 27, 29, 36, 69, 73 энтропия 20, 23-25, 34, 36 Эрнст, Мах, 21 эффект Зеемана 68 фотоэлектрический Штарка 68 Юнгер, Ита 100
Эрвин Шрёдингер сформулировал знаменитый мысленный эксперимент, чтобы продемонстрировать абсурдность физической интерпретации квантовой теории, за которую выступали такие его современники, как Нильс Бор и Вернер Гейзенберг. Кот Шрёдингера. находящийся между жизнью и смертью, ждет наблюдателя, который решит его судьбу. Этот яркий образ сразу стал символом квантовой механики, которая противоречит интуиции точно так же, как не поддается осмыслению и ситуация с котом, одновременно живым и мертвым. Шрёдингер проиграл эту битву, но его имя навсегда внесено золотыми буквами в историю науки благодаря волновому уравнению - главному инструменту для описания физического мира в атомном масштабе.
Последние комментарии
2 дней 5 часов назад
2 дней 17 часов назад
2 дней 18 часов назад
3 дней 5 часов назад
3 дней 23 часов назад
4 дней 12 часов назад